Вход
Регистрация
Спроси Mozg AI
М
Молодежь
К
Компьютеры-и-электроника
Д
Дом-и-сад
С
Стиль-и-уход-за-собой
П
Праздники-и-традиции
Т
Транспорт
П
Путешествия
С
Семейная-жизнь
Ф
Философия-и-религия
Б
Без категории
М
Мир-работы
Х
Хобби-и-рукоделие
И
Искусство-и-развлечения
В
Взаимоотношения
З
Здоровье
К
Кулинария-и-гостеприимство
Ф
Финансы-и-бизнес
П
Питомцы-и-животные
О
Образование
О
Образование-и-коммуникации
.....больше.....
..меньше..
умникARM
14.08.2022 21:59 •
Алгебра
Как решить уравнение 16x^-(4x-5)^=15 ^- это вторая степень
👇
Увидеть ответ
Ответ:
Muxaska123
14.08.2022
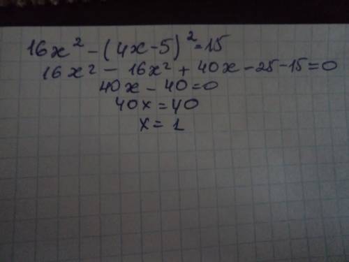
Раскрываем скобки. Возводим в кв. Получаем 16х^-(16х^ - 40x+25)=15 раскрываем скобки. так как минус, меняем знаки. 16x^ - 16x^ + 40 x -25=15 квадраты сокращаются, переносим 25 в правую сторону, получаем, 40x=15+25. 40x=40/ x=1
4,8
(70 оценок)
Ответ:
Алина15989
14.08.2022
Решениеееееееееееееееееее
4,6
(60 оценок)
Открыть все ответы
Ответ:
karisafedotova2
14.08.2022
Дана функция y= x^3 - 2x^2 - 6x - 4 и прямая у = -2х - 12.
Находим производную функции.
y' = 3x^2 - 4x - 6.
Производная равна угловому коэффициенту касательной к графику функции.
По заданию к = -2.
Приравниваем: 3x^2 - 4x - 6 = -2.
Получаем квадратное уравнение 3x^2 - 4x - 4 = 0.
Квадратное уравнение, решаем относительно x: Ищем дискриминант:
D=(-4)^2-4*3*(-4)=16-4*3*(-4)=16-12*(-4)=16-(-12*4)=16-(-48)=16+48=64;Дискриминант больше 0, уравнение имеет 2 корня:
x_1=(√64-(-4))/(2*3)=(8-(-4))/(2*3)=(8+4)/(2*3)=12/(2*3)=12/6 = 2;x_2=(-√64-(-4))/(2*3)=(-8-(-4))/(2*3)=(-8+4)/(2*3)=-4/(2*3)=-4/6 = -(2/3)≈ -0.666667.
Получили 2 точки: х = 2 и х = -(2/3).
Используя уравнение касательной у(кас) = y'(xo)*(x-xo)+y(xo), находим уравнения для полученных двух точек.
у(кас(2)) = -2*(x-2)-16 = -2х - 12 (это заданная параллельная прямая).
у(кас(-2/3)) =-2*(x+(2/3)) - (32/27) = (-2/3)х - (68/27) это и есть уравнение искомой касательной, а абсцисса точки касания х = -2/3.
4,8
(1 оценок)
Ответ:
mlizim
14.08.2022
Дана функция y= x^3 - 2x^2 - 6x - 4 и прямая у = -2х - 12.
Находим производную функции.
y' = 3x^2 - 4x - 6.
Производная равна угловому коэффициенту касательной к графику функции.
По заданию к = -2.
Приравниваем: 3x^2 - 4x - 6 = -2.
Получаем квадратное уравнение 3x^2 - 4x - 4 = 0.
Квадратное уравнение, решаем относительно x: Ищем дискриминант:
D=(-4)^2-4*3*(-4)=16-4*3*(-4)=16-12*(-4)=16-(-12*4)=16-(-48)=16+48=64;Дискриминант больше 0, уравнение имеет 2 корня:
x_1=(√64-(-4))/(2*3)=(8-(-4))/(2*3)=(8+4)/(2*3)=12/(2*3)=12/6 = 2;x_2=(-√64-(-4))/(2*3)=(-8-(-4))/(2*3)=(-8+4)/(2*3)=-4/(2*3)=-4/6 = -(2/3)≈ -0.666667.
Получили 2 точки: х = 2 и х = -(2/3).
Используя уравнение касательной у(кас) = y'(xo)*(x-xo)+y(xo), находим уравнения для полученных двух точек.
у(кас(2)) = -2*(x-2)-16 = -2х - 12 (это заданная параллельная прямая).
у(кас(-2/3)) =-2*(x+(2/3)) - (32/27) = (-2/3)х - (68/27) это и есть уравнение искомой касательной, а абсцисса точки касания х = -2/3.
4,8
(20 оценок)
Это интересно:
С
Стиль-и-уход-за-собой
05.08.2021
Как правильно надеть кимоно: советы и рекомендации...
С
Стиль-и-уход-за-собой
31.01.2023
Как избавиться от раздражения кожи после бритья: полезные советы и трюки...
Д
Дом-и-сад
15.06.2022
Ядовитый дуб: как уничтожить и избавиться от него навсегда...
К
Компьютеры-и-электроника
24.08.2021
Как подключить проводной контроллер Xbox 360 к ПК с ОС Windows 8...
Д
Дом-и-сад
24.10.2022
Как сменить песок в фильтре для бассейна: подробная инструкция...
З
Здоровье
19.04.2020
Как бороться с прыщами во время беременности...
С
Стиль-и-уход-за-собой
07.07.2021
Секреты и техники рисования идеальных бровей...
О
Образование-и-коммуникации
06.10.2021
Как найти расстояние между двумя точками: научимся решать задачи за считанные минуты...
З
Здоровье
04.03.2023
Как правильно накладывать повязку на вывихнутое плечо: подробный обзор и инструкция...
О
Образование-и-коммуникации
16.09.2020
Как перестать жалеть о своих решениях?...
Новые ответы от MOGZ: Алгебра
kubikrubik201
03.04.2022
Точки А, В,С лежать на одній прямій. Чи лежить точка С між точками А і В , якщо: 1)АВ= 5 см, Ас=11 см, В С= 6 см; 2)АВ=12см, АС=3,5 см, ВС =8,5 см?...
David2209
07.05.2022
Оцініт значення виразу a-2b,якщо - 3 a -2,5 ; 1,5 b 2;...
jejixex8
01.11.2020
Найдите графическим число решений системы...
6frm129
05.01.2022
Сколько будет 1 целая 3/4 в 3 степени...
TigrNavigator322
06.03.2022
6 карасів важчі за 10 лящів, але легші за 5 окунів. 10 лящів важчі за 8 окунів. Що важче — 2 карасі чи 3 лящі?...
Karelina1988
15.04.2023
Зная, что a/b=2, найдите: a²+b²/ab...
ЖанЖак2003
06.07.2021
Раскрой скобки и упрости выражение: −8(4−b)+3(−2b−2)−8(−9+b). ответ: выражение без скобок, не упрощённое (пиши без промежутков, не меняя порядка слагаемых; переменные пиши...
BlackSenpai
15.05.2023
В порядке возростания расположите числа: -17;0.3;-73;8,9;3/4;-1целая 3/11сотых;2,005;1,02...
ddurua
14.08.2020
Изобразите на координатной прямой промежуток 3; 4...
iroytblatилья
14.08.2020
Марк и лиза стартуют из диаметрально противоположных точек круговой аллеи и бегут по этой аллее в одном направлении. скорость марка в 9/8 раза больше скорости лизы. сколько...
MOGZ ответил
Перевестииз кратко ионого в молекулярное уравнение ...
30 примеры (в цитатах) безответственности, скупости, лживости, казнокрадства...
Открытую с обеих сторон стеклянную трубку длинной 60 см опускают в сосуд...
Как найти абсолютную систематическую погрешность времени?...
много написать сообщение на тему отражение во фразеологии обычаев, традиций,быта...
Во сколько раз отличаются промежутки времени, затрачиваемое на движение...
Сопределениями. какие знаете...
Втреугольнике abc проведены медианы ad, be, cf. найти сумму векторов ad...
Составить таблицу китай и индия 19 век, сравнение: армия, территория, ,...
При сжигании углеводорода массой 5,6 г образовалось 8,96 л углекислого...
Полный доступ к MOGZ
Живи умнее Безлимитный доступ к MOGZ
Оформи подписку
О НАС
О нас
Блог
Условия пользования
Авторское право
Политика конфиденциальности
Предпочтения cookie-файлов
ПОМОЩЬ
Зарегистрируйся
Центр помощи
Центр безопасности
App
Вход
Регистрация
Что ты хочешь узнать?
Спроси Mozg
Открыть лучший ответ
×