М
Молодежь
К
Компьютеры-и-электроника
Д
Дом-и-сад
С
Стиль-и-уход-за-собой
П
Праздники-и-традиции
Т
Транспорт
П
Путешествия
С
Семейная-жизнь
Ф
Философия-и-религия
Б
Без категории
М
Мир-работы
Х
Хобби-и-рукоделие
И
Искусство-и-развлечения
В
Взаимоотношения
З
Здоровье
К
Кулинария-и-гостеприимство
Ф
Финансы-и-бизнес
П
Питомцы-и-животные
О
Образование
О
Образование-и-коммуникации
horan66
horan66
14.09.2021 22:46 •  Алгебра

Преобразуйте в многочлен стандартного вида 7x(3-x)+(6+2x)^2 (2b+3)^2-(2b-5)(2b+5)

👇
Ответ:
asem052
asem052
14.09.2021
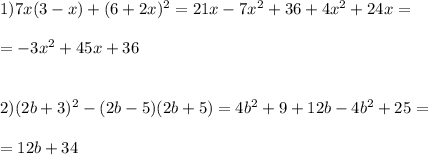
1)7x(3-x)+(6+2x) ^{2} =21x-7 x^{2} +36+4 x^{2} +24x= \\ \\ =-3 x^{2} +45x+36 \\ \\ \\ 2)(2b+3) ^{2} -(2b-5)(2b+5)=4b ^{2} +9+12b-4b ^{2} +25= \\ \\ =12b+34
4,6(9 оценок)
Ответ:
uchenik1988
uchenik1988
14.09.2021
7x(3-x)+(6+2x)^2=21x-7x²+36+24x+4x²=-3x²+45x+36
(2b+3)^2-(2b-5)(2b+5) =4b²+12b+9-4b²+25=12b+34
4,7(87 оценок)
Открыть все ответы
Ответ:
Alexander169
Alexander169
14.09.2021

В 512 раз 

Объем правильного тетраэдра вычисляется по формуле: 


где a - величина ребра в принятых единицах измерения 

В увеличенном тетраэдре ребро (назовем его b) составляет 8a 

подставляя, заменяя и деля увеличенный объем на сравниваемый (с ребром b выраженным через значение a, то есть b = 8a) получаем, что увеличение объема в данном случае будет составлять 8³ = 512 (ед.) 

То есть в общем случае: 
увеличение/уменьшение объема правильного тетраэдра пропорционально кубу единицы увеличения/уменьшения его ребра

4,6(18 оценок)
Ответ:
kariiiinaaaad
kariiiinaaaad
14.09.2021

В 512 раз 

Объем правильного тетраэдра вычисляется по формуле: 


где a - величина ребра в принятых единицах измерения 

В увеличенном тетраэдре ребро (назовем его b) составляет 8a 

подставляя, заменяя и деля увеличенный объем на сравниваемый (с ребром b выраженным через значение a, то есть b = 8a) получаем, что увеличение объема в данном случае будет составлять 8³ = 512 (ед.) 

То есть в общем случае: 
увеличение/уменьшение объема правильного тетраэдра пропорционально кубу единицы увеличения/уменьшения его ребра

4,4(55 оценок)
Это интересно:
Новые ответы от MOGZ: Алгебра
logo
Вход Регистрация
Что ты хочешь узнать?
Спроси Mozg
Открыть лучший ответ