М
Молодежь
К
Компьютеры-и-электроника
Д
Дом-и-сад
С
Стиль-и-уход-за-собой
П
Праздники-и-традиции
Т
Транспорт
П
Путешествия
С
Семейная-жизнь
Ф
Философия-и-религия
Б
Без категории
М
Мир-работы
Х
Хобби-и-рукоделие
И
Искусство-и-развлечения
В
Взаимоотношения
З
Здоровье
К
Кулинария-и-гостеприимство
Ф
Финансы-и-бизнес
П
Питомцы-и-животные
О
Образование
О
Образование-и-коммуникации
qwerty11115
qwerty11115
21.03.2020 18:11 •  Алгебра

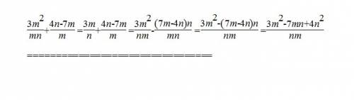
Виконайте додавання 3m^2/mn+4n-7m/m

👇
Ответ:
samnsk100617
samnsk100617
21.03.2020
=====================================
Виконайте додавання 3m^2/mn+4n-7m/m
4,4(28 оценок)
Открыть все ответы
Ответ:
WaRRiOPRO
WaRRiOPRO
21.03.2020
Пусть х -производит 1 фирма
То 2 фирма производит х+( х*10):100   (это записывается дробью)
А 3 фирма х+( х*10):100-100.
Всего производится 236 компьютеров
                                  решение
х+  х+( х*10):100  + (х+( х*10):100-100 )=236
приводим к общему знаменателю 100 и получается
100х+100х+10х+100х+100х+10х-10000=23600
420х=23600+10000
420х=33600
х=33600:420
х=80 (комп)-производит  1 фирма
80+(80*10):100=88 (комп) производит 2 фирма
( 80+88 )-100=68 (комп)производит 3 фирма
и того проверка :80+88+68=236 (комп)производят три фирмы.
Надеюсь,объяснила доступно
4,8(89 оценок)
Ответ:

Как решить системы линейных уравнений с двумя переменными? Для этого, можно использовать графики уравнений. Решить систему уравнений - значит найти все её решения или доказать, что решений - нет. Решением системы линейных уравнений с двумя переменными называется пара значений переменных, обращающая каждое уравнение системы в верное равенство. Если, Вы решаете Систему линейных уравнений на координатной плоскости (прямой) - Вы решаете Систему Графическим методом. Графиками уравнений Системы - являются прямые. Если Прямые пересекаются - то система имеет единственное решение; если прямые параллельны, то система не имеет решений; если прямые совпадают - то решений бесконечно много.

4,5(69 оценок)
Это интересно:
Новые ответы от MOGZ: Алгебра
logo
Вход Регистрация
Что ты хочешь узнать?
Спроси Mozg
Открыть лучший ответ