 
                                                 
                                                 
                                                 
                                                усиление межнациональной и религиозной вражды усиливает социальную и политическую нестабильность в большинстве регионов мира. все это угрожает массовыми миграциями людей и ведет к дальнейшему усилению напряженности, к развязыванию новых войн. войны стали мировыми и угрожают существованию человечества и всего живого на земле. проблема выживания в условиях непрерывного совершенствования оружия массового уничтожения. в ядерный век человечество впервые за всю свою стало смертным, и этот печальный итог был «побочным эффектом» научно-технического прогресса, открывающего все новые возможности развития военной техники.
не знаю подойдет или нет))
 
                                                 
                                                 
                                                 
                                                 
                                                 
                                                 
                                                
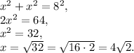
Значит вся диагональ равна 2 радиуса то есть 2*4=8.
Из теоремы Пифагора, пусть сторона квадрата это x, найдем x:
Значит площадь квадрата равна x²=