М
Молодежь
К
Компьютеры-и-электроника
Д
Дом-и-сад
С
Стиль-и-уход-за-собой
П
Праздники-и-традиции
Т
Транспорт
П
Путешествия
С
Семейная-жизнь
Ф
Философия-и-религия
Б
Без категории
М
Мир-работы
Х
Хобби-и-рукоделие
И
Искусство-и-развлечения
В
Взаимоотношения
З
Здоровье
К
Кулинария-и-гостеприимство
Ф
Финансы-и-бизнес
П
Питомцы-и-животные
О
Образование
О
Образование-и-коммуникации
Мир666ад
Мир666ад
10.11.2022 08:15 •  Алгебра

Какое из данных чисел нельзя преобразовать к виду "корень из 6"/10 1)"корень из 3"/5 корней из 2 2)"корень из 3"/"корень из 5" * "корень из 10" 3)корень "3/5" 4)корень "3/50" c решением: d

👇
Ответ:
lgep08jle
lgep08jle
10.11.2022
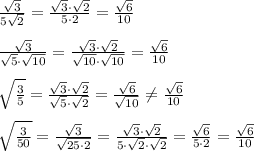
\frac{\sqrt3}{5\sqrt2}=\frac{\sqrt3\cdot \sqrt2}{5\cdot 2}=\frac{\sqrt6}{10}\\\\\frac{\sqrt3}{\sqrt5\cdot \sqrt{10}}=\frac{\sqrt3\cdot \sqrt2}{\sqrt{10}\cdot \sqrt{10}}=\frac{\sqrt6}{10}\\\\\sqrt{\frac{3}{5}}=\frac{\sqrt3\cdot \sqrt2}{\sqrt5\cdot \sqrt2}=\frac{\sqrt6}{\sqrt{10}}\ne \frac{\sqrt6}{10}\\\\\sqrt{\frac{3}{50}}=\frac{\sqrt3}{\sqrt{25\cdot 2}}=\frac{\sqrt3\cdot \sqrt2}{5\cdot \sqrt2\cdot \sqrt2}=\frac{\sqrt6}{5\cdot 2}=\frac{\sqrt6}{10}
4,5(100 оценок)
Открыть все ответы
Ответ:
Патич232
Патич232
10.11.2022
Давай начнем с того, что обозначим неизвестное расстояние от лагеря до места, где туристы причалили к берегу. Пусть это расстояние будет равно х километрам.

Теперь мы знаем, что туристы плыли вверх по течению реки, поэтому скорость лодки относительно берега будет равна разности скорости лодки и скорости течения реки: 6 км/ч - 3 км/ч = 3 км/ч.

Затем туристы гуляли 2 часа и вернулись обратно через 6 часов от начала путешествия. Обратите внимание, что если они вернулись через 6 часов, то скорость лодки относительно берега должна быть такой же, как и вначале путешествия.

Итак, теперь они плывут вниз по течению реки и скорость лодки относительно берега равна 3 км/ч.

Так как расстояние равно скорости умноженной на время, для пути вверх по течению реки мы можем записать уравнение: время в пути вверх по течению равно расстоянию, деленному на скорость.

Таким образом, время в пути вверх по течению будет: х км / 3 км/ч = х/3 часа.

После того, как туристы вернулись обратно, они плыли вниз по течению реки, поэтому время в пути вниз по течению будет: х км / 3 км/ч = х/3 часа.

Теперь мы знаем, что время гуляния составило 2 часа, и обратное путешествие заняло 6 часов. Следовательно, общее время путешествия будет равно сумме времени в пути вверх и вниз, а это равно x/3 + x/3 + 2 часа.

Мы также знаем, что обратное путешествие заняло 6 часов, поэтому мы можем записать уравнение: x/3 + x/3 + 2 = 6.

Сначала мы можем объединить две части x/3 в одну: 2x/3 + 2 = 6.

Затем вычтем 2 из обеих сторон уравнения: 2x/3 = 4.

Далее умножим обе части уравнения на 3: 2x = 12.

И наконец, разделим обе части уравнения на 2: x = 6.

Таким образом, расстояние от лагеря до места, где туристы причалили к берегу, равно 6 километрам.
4,6(76 оценок)
Ответ:
anshul
anshul
10.11.2022
Температура воздуха колеблется в зависимости от времени суток и наличия солнца. Дневная температура обычно выше, а ночная температура ниже. На графике видно, что дневная температура в конце апреля составляет от 20 до 25 градусов цельсия, а ночная температура может достигать отрицательных значений, примерно -5 градусов цельсия.

Теперь давайте поговорим о возможном местоположении города.

1. Зона экватора: Города, находящиеся в зоне экватора, обычно имеют однородный климат с малыми колебаниями температуры воздуха в течение года. Так как на графике видно большие колебания в температуре воздуха, включая отрицательные значения ночью, можно сделать вывод, что город не находится в зоне экватора.

2. Субтропики: Субтропические области имеют более разнообразный климат с более заметными сезонными изменениями температуры. В этих областях приблизительно в третий день весеннего месяца температура воздуха может колебаться и достигать отрицательных значений ночью. Таким образом, город может находиться в субтропиках.

3. Полушария: Для определения полушария, в котором находится город, нам понадобится больше информации. Если в апреле второго весеннего месяца (то есть апрель) в северном полушарии находится осень, то город, судя по колебаниям температуры, скорее всего находится в южном полушарии. Температурные колебания в городе субтропиков на южном полушарии могут быть обусловлены различными факторами, такими как близость к побережью, наличие гор, влияние океанского или морского течения и т. д.

Вывод: Исходя из графика изменения температуры воздуха в апреле второго весеннего месяца, можно предположить, что город находится в субтропиках в южном полушарии. Однако, для точного определения полушария и уточнения местоположения города, необходимо иметь больше информации о его географическом расположении.
4,6(26 оценок)
Это интересно:
Новые ответы от MOGZ: Алгебра
logo
Вход Регистрация
Что ты хочешь узнать?
Спроси Mozg
Открыть лучший ответ