М
Молодежь
К
Компьютеры-и-электроника
Д
Дом-и-сад
С
Стиль-и-уход-за-собой
П
Праздники-и-традиции
Т
Транспорт
П
Путешествия
С
Семейная-жизнь
Ф
Философия-и-религия
Б
Без категории
М
Мир-работы
Х
Хобби-и-рукоделие
И
Искусство-и-развлечения
В
Взаимоотношения
З
Здоровье
К
Кулинария-и-гостеприимство
Ф
Финансы-и-бизнес
П
Питомцы-и-животные
О
Образование
О
Образование-и-коммуникации
DanilWolf
DanilWolf
20.03.2021 11:58 •  Алгебра

Найдите значение выражения: log· log

👇
Ответ:
valenkov05
valenkov05
20.03.2021
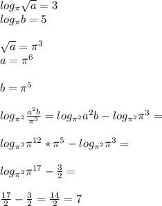
log_{\pi}\sqrt{a}=3\\
log_{\pi}b=5\\\\
\sqrt{a}=\pi^3\\ 
a=\pi^6\\\\
b=\pi^5\\\\
log_{\pi^2}\frac{a^2b}{\pi^3}=log_{\pi^2}a^2b - log_{\pi^2}\pi^3 =\\\\
log_{\pi^2}\pi^{12}*\pi^5-log_{\pi^2}\pi^3=\\\\
log_{\pi^2}\pi^{17}-\frac{3}{2}=\\\\
\frac{17}{2}-\frac{3}{2} = \frac{14}{2} = 7
4,7(19 оценок)
Открыть все ответы
Ответ:
raynis2
raynis2
20.03.2021
Корень квадратного уравнения ах²+вх+с = 0
находится из выражения: х₁,₂ = (-в+-√(в²-4ас)) / 2а.
В задании дано: а=3    в = 5    с =   2m      x₁ = -1.
Подставляем эти данные в уравнение:
-1 = (-5+-√(5²-4*3*2m)) / 2*3
-6 = -5+-√(25-25m)
-1 = +-√(25-25m)   Возведем обе части в квадрат:
1 =25 - 24m   24m = 24   m = 1
Отсюда х = (-5+-√(5²-4*3*2*1)) / 2*3 = (-5 +- 1) / 6
                х₁ =(-5+1) / 6 = -4 /6 = -2 / 3 (это второй корень)
                х₂ = (-5-1) / 6 = -6 / 6 = -1 (этот корень дан в задании)    
4,6(52 оценок)
Ответ:
кирюха6677
кирюха6677
20.03.2021

Пацанам привет остальным соболезнуюПацанам привет остальным соболезнуюПацанам привет остальным соболезнуюПацанам привет остальным соболезнуюПацанам привет остальным соболезнуюПацанам привет остальным соболезнуюПацанам привет остальным соболезнуюПацанам привет остальным соболезнуюПацанам привет остальным соболезнуюПацанам привет остальным соболезнуюПацанам привет остальным соболезнуюПацанам привет остальным соболезнуюПацанам привет остальным соболезнуюПацанам привет остальным соболезнуюПацанам привет остальным соболезнуюПацанам привет остальным соболезнуюПацанам привет остальным соболезнуюПацанам привет остальным соболезнуюПацанам привет остальным соболезнуюПацанам привет остальным соболезнуюПацанам привет остальным соболезнуюПацанам привет остальным соболезнуюПацанам привет остальным соболезнуюПацанам привет остальным соболезнуюПацанам привет остальным соболезнуюПацанам привет остальным соболезнуюПацанам привет остальным соболезнуюПацанам привет остальным соболезнуюПацанам привет остальным соболезнуюПацанам привет остальным соболезную

Объяснение:

4,5(23 оценок)
Это интересно:
logo
Вход Регистрация
Что ты хочешь узнать?
Спроси Mozg
Открыть лучший ответ