М
Молодежь
К
Компьютеры-и-электроника
Д
Дом-и-сад
С
Стиль-и-уход-за-собой
П
Праздники-и-традиции
Т
Транспорт
П
Путешествия
С
Семейная-жизнь
Ф
Философия-и-религия
Б
Без категории
М
Мир-работы
Х
Хобби-и-рукоделие
И
Искусство-и-развлечения
В
Взаимоотношения
З
Здоровье
К
Кулинария-и-гостеприимство
Ф
Финансы-и-бизнес
П
Питомцы-и-животные
О
Образование
О
Образование-и-коммуникации
shtylev2018
shtylev2018
28.07.2022 23:24 •  Алгебра

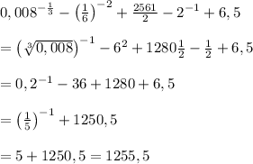
0,008^-1/3-(1/6)^-2+2561/2-2^-1+6,5

👇
Ответ:
Adel3004
Adel3004
28.07.2022
0,008^{-\frac{1}{3}}-\left(\frac{1}{6}\right)^{-2}+\frac{2561}{2}-2^{-1}+6,5\\\\=\left(\sqrt[3]{0,008}\right)^{-1}-6^2+1280\frac{1}{2}-\frac{1}{2}+6,5\\\\=0,2^{-1}-36+1280+6,5\\\\=\left(\frac{1}{5}\right)^{-1}+1250,5\\\\=5+1250,5=1255,5
4,6(11 оценок)
Открыть все ответы
Ответ:
вованчик3
вованчик3
28.07.2022
А) х+2=4-х  б) 3х+1=5х-3   в)2х-3=2-3х     г)2х+3=3х-7   д)9х-2=5х-2
х+х=4-2         3х-5х=-3-1      2х+3х=2+3      2х-3х=-7-3      9х-5х=-2+2
2х=2              -2х=-4            5х=5                -х=-10            4х=0
х=1                  х=2               х=1                 х=10               х=0

е)10-3х=2х-15          ж)10х+7=8х-9       з)53-6х=4х-17        и)8+2х=16+х
   -3х-2х=-15-10           10х-8х=-9-7          -6х-4х=-17-53        2х-х=16-8
    -5х=-25                   -2х=-16                -10х=-70                х=8
      х=5                        х=8                      х=7
4,7(2 оценок)
Ответ:
mashapa2001
mashapa2001
28.07.2022
Действительно, некоторые факты подтверждают идею большого взрыва, согласно которой, около 15 млрд. лет назад произошёл чудовищной силы взрыв, породивший известную нам Вселенную. В соответствии с концепцией О.Ю. Шмидта около 6 млрд. лет назад из газово-пылевого облака образовалось Солнце. Из оставшейся части облака, вращающейся вокруг Солнца, сформировались планеты Солнечной системы, в числе которых была и Земля. Самым древним из обнаруженных горных пород 4,6 млрд. лет. В слоях моложе 3,8 млрд. лет обнаружены продукты распада хлорофилла и других пигментов, а возрастом 3,2 млрд. лет датируются первые достоверные находки микроорганизмов. Можно заключить, что жизнь возникла в период между 4-3 млрд. лет. Какие условия являются необходимыми и достаточными для её возникновения? Первоначально Земля была холодной, но благодаря распаду радиоактивных элементов она разогрелась, а температура в её недрах достигла 1000ºС, в результате чего твёрдые породы начали плавиться и распределились следующим образом: в центре – самые тяжёлые, а на поверхности – самые лёгкие. Под влиянием высокой температуры вещества вступали в химические реакции. Активно действовали вулканы, выбрасывая на поверхность планеты из её недр огромное количество неорганических веществ. В результате дегазации планетарных недр образовалась атмосфера, которая состояла из паров воды, углекислого газа, азота, окислов серы. Свободный кислород, который выделялся из мантии, быстро расходовался на процессы окисления.Затем наступил период охлаждения планеты. Температура на поверхности Земли снизилась до 100ºС, началась конденсация водяного пара в атмосфере проливные дожди, продолжавшиеся тысячелетия и сопровождающиеся грозами. Горячая вода заполняла впадины земной поверхности. В ней растворялись вещества, содержащиеся в земной коре и атмосфере, вступали в химические реакции. Когда Земля остыла настолько, что водяные пары сгустились и образовали первичный океан, многие соединения, в том числе и органические, оказались растворёнными в водах этого океана. Таким образом, на планете в то время сложился уникальный, неповторимый комплекс условий. Поверхность Земли, вероятно, ещё не совсем остыла, но и не была излишне накалена, отсутствие озонного экрана неограниченному поступлению на поверхность планеты ультрафиолетового излучения, что образованию органических веществ.
4,7(92 оценок)
logo
Вход Регистрация
Что ты хочешь узнать?
Спроси Mozg
Открыть лучший ответ