М
Молодежь
К
Компьютеры-и-электроника
Д
Дом-и-сад
С
Стиль-и-уход-за-собой
П
Праздники-и-традиции
Т
Транспорт
П
Путешествия
С
Семейная-жизнь
Ф
Философия-и-религия
Б
Без категории
М
Мир-работы
Х
Хобби-и-рукоделие
И
Искусство-и-развлечения
В
Взаимоотношения
З
Здоровье
К
Кулинария-и-гостеприимство
Ф
Финансы-и-бизнес
П
Питомцы-и-животные
О
Образование
О
Образование-и-коммуникации
andreyBublik
andreyBublik
08.07.2022 16:12 •  Алгебра

Выполните действия: (7√2-√98+√10)×√2

👇
Ответ:
max78789867
max78789867
08.07.2022
решение на фото, которое прилагается
Выполните действия: (7√2-√98+√10)×√2
4,5(84 оценок)
Ответ:
VaLeRiA102030405060
VaLeRiA102030405060
08.07.2022
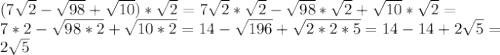
(7 \sqrt{2}- \sqrt{98}+ \sqrt{10})* \sqrt{2} = 7 \sqrt{2}*\sqrt{2}- \sqrt{98}*\sqrt{2}+ \sqrt{10}* \sqrt{2}= \\ 
7*2- \sqrt{98*2} + \sqrt{10*2} =14- \sqrt{196} + \sqrt{2*2*5} =14-14+2 \sqrt{5} = \\ 
2 \sqrt{5} \\
4,7(60 оценок)
Открыть все ответы
Ответ:
А6р7с8е9н
А6р7с8е9н
08.07.2022

4 км/час

Объяснение:

Пусть скорость лодки от пристани до острова равна х км/час. Тогда

S =  24км = х*t  → t = 24 / х

На обратном пути скорость стала: (х + 1) км/час, а время, за которое она обратный путь : (t - 2) часа. Тогда

S = 24 км = (х +1) (t-2)  или, подставив выражение для t из первого равенства, получим:

24 = (х+1) * [(24/х) - 2]

(x + 1)(24 -2x)/x = 24

2 (х + 1)(12 - х) =24х

(х + 1)(12 - х) = 12х

12х + 12- х² -х = 12х

х² + х - 12 = 0

х² + 4х - 3х - 12 = 0

Х(х + 4) - 3(х + 4) = 0

(х + 4)(х - 3) =0

х ₁ = - 4 - не удовлетворяет условию

х ₂ = 3 (км/час) - скорость лодки от пристани до озера

3 + 1 = 4 (км/час) - скорость лодки от острова до пристани

ответ: Лодка плыла от острова до пристани со скоростью 4 км/ч.

4,5(59 оценок)
Ответ:
Trumpumpum
Trumpumpum
08.07.2022

Пусть х деталей в час делает первый рабочий, тогда (х - 2) детали в час делает второй рабочий. Уравнение:

238/(х-2) - 171/х = 5

238 · х - 171 · (х - 2) = 5 · х · (х - 2)

238х - 171х + 342 = 5х² - 10х

67х + 342 = 5х² - 10х

5х² - 10х - 67х - 342 = 0

5х² - 77х - 342 = 0

D = b² - 4ac = (-77)² - 4 · 5 · (-342) = 5929 + 6840 = 12769

√D = √12769 = 113

х₁ = (77-113)/(2·5) = (-36)/10 = -3,6 (не подходит, так как -3,6 ∉ N)

х₂ = (77+113)/(2·5) = 190/10 = 19

ответ: 19 деталей в час делает первый рабочий.

Проверка:

171 : 19 = 9 часов - время работы первого рабочего

238 : (19 - 2) = 238 : 17 = 14 часов - время работы второго рабочего

14 - 9 = 5 часов - разница

4,8(90 оценок)
Это интересно:
Новые ответы от MOGZ: Алгебра
logo
Вход Регистрация
Что ты хочешь узнать?
Спроси Mozg
Открыть лучший ответ