Вход
Регистрация
Спроси Mozg AI
М
Молодежь
К
Компьютеры-и-электроника
Д
Дом-и-сад
С
Стиль-и-уход-за-собой
П
Праздники-и-традиции
Т
Транспорт
П
Путешествия
С
Семейная-жизнь
Ф
Философия-и-религия
Б
Без категории
М
Мир-работы
Х
Хобби-и-рукоделие
И
Искусство-и-развлечения
В
Взаимоотношения
З
Здоровье
К
Кулинария-и-гостеприимство
Ф
Финансы-и-бизнес
П
Питомцы-и-животные
О
Образование
О
Образование-и-коммуникации
.....больше.....
..меньше..
milton555
29.08.2021 02:07 •
Алгебра
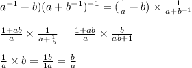
Представьте в виде рациональной дроби (a^-1 + b)*(a + b^-1)^-1^ -1 это в степени минус один
👇
Увидеть ответ
Ответ:
sergogocer
29.08.2021
4,7
(79 оценок)
Ответ:
MadiHale
29.08.2021
4,7
(56 оценок)
Открыть все ответы
Ответ:
Zhenya2099
29.08.2021
Было :
I полка х книг
II полка y книг
Всего х+у = 110 книг
После перестановки:
I полка ( х +1/2* у ) книг
II полка у - 1/2 * у = 1/2* у книг
(х+1/2 * у) / (1/2 *у) = 4 раза
Система уравнений.
{x+y=110 ⇒у=110-х
{ (x+1/2 *y) /(1/2*y ) =4
{x+y=110
{x +0.5y = 4*0.5y
{x+y=110
{x+0.5y -2y=0
{x+y=110 |*1.5
{x- 1.5y =0
{1.5x+1.5y= 165
{x -1.5y=0
Алгебраическое сложение
1.5x+1.5y +x-1.5y =165+0
2.5x=165
x=165/2.5
x= 66 (книг) было на I полке
у=110-66= 44 (книги) было на II полке
проверим:
66+44=110 (кн.) всего
(66+ (44/2) ) / ( 44 - (44/2)) = 88/22=4 (раза)
ответ: 66 книг было на первой полке , 44 книги - на второй полке.
4,4
(7 оценок)
Ответ:
Алшиния
29.08.2021
(x + 4)² = 3x + 40
x² + 8x + 16 = 3x + 40
x² + 5x - 24 = 0
Найдем дискриминант квадратного уравнения:
D = b² - 4ac = 5² - 4·1·(-24) = 25 + 96 = 121
Так как дискриминант больше нуля то, квадратное уравнение имеет два действительных корня:
x1 = (-5 - √121) / 2*1 = -8
x2 = (-5 + √121) / 2*1 = 3
(2x - 3)² = 11x - 19
4x² - 12x + 9 = 11x -19
4x² - 23x + 28 = 0
Найдем дискриминант квадратного уравнения:
D = b² - 4ac = (-23)² - 4·4·28 = 529 - 448 = 81
Так как дискриминант больше нуля то, квадратное уравнение имеет два действительных корня:
x1 = (23 - √81) / 2*4 = 14/8 = 1.75
x2 = (23 + √81) / 2*4 = 4
(x+1)² = 7918 - 2x
x² + 2x + 1 = 7918 - 2x
x² + 4x - 7917 = 0
Найдем дискриминант квадратного уравнения:
D = b² - 4ac = 4² - 4·1·(-7917) = 16 + 31668 = 31684
Так как дискриминант больше нуля то, квадратное уравнение имеет два действительных корня:
x1 = (-4 - √31684) / 2*1 = -91
x2 = (-4 + √31684) / 2*1 = 87
(x+2)² = 3131 - 2x
x² + 4x + 4 = 3131 - 2x
x² + 6x - 3127 = 0
Найдем дискриминант квадратного уравнения:
D = b² - 4ac = 6² - 4·1·(-3127) = 36 + 12508 = 12544
Так как дискриминант больше нуля то, квадратное уравнение имеет два действительных корня:
x1 = (-6 - √12544) / 2*1 = -59
x2 = (-6 + √12544) / 2*1 = 53
4,5
(29 оценок)
Это интересно:
К
Компьютеры-и-электроника
10.11.2021
Как изменить список программ для автозапуска...
С
Стиль-и-уход-за-собой
17.12.2021
Горячее масло: идеальный способ привести ваши волосы в порядок?...
В
Взаимоотношения
16.10.2021
Как признаться в любви в записке: искусство выражения чувств...
С
Стиль-и-уход-за-собой
13.10.2020
Как избавиться от ушных пробок: причины, симптомы и лечение...
К
Компьютеры-и-электроника
07.04.2020
Установка HD игр с кэшем на Android: подробная инструкция...
С
Стиль-и-уход-за-собой
03.10.2020
10 простых правил ухода за кожей лица в домашних условиях...
О
Образование-и-коммуникации
19.07.2021
Как преобразовать время из 12-часового в 24-часовой формат...
З
Здоровье
06.03.2021
Секрет понижения веса: как потерять килограмм в неделю...
И
Искусство-и-развлечения
24.07.2022
Как найти вдохновение для написания песен?...
К
Компьютеры-и-электроника
06.07.2021
Как спрятаться от школьных блокировок и зайти на YouTube...
Новые ответы от MOGZ: Алгебра
NastyTyan
04.01.2020
Вычислите дискриминант квадратного уравнения и укажите число его корней а)2х²+3х+1=0 б)2х²+х+2=0 в)9х²+6х+1=0 г)х²+5х-6=0...
Turbik327
28.03.2021
Гипотенуза прямоугольного треугольника равна 25см а один из его катетов больше другого на 17см. найдите катеты этого треугольника. нужно написать шапку к этой и составить...
настя6063
28.03.2021
Вправильной шестиугольной пирамиде sabcdef,боковые ребра которой равны 2 а стороны основания 1. найдите косинус ac и плоскость saf...
annkhanenko23
28.03.2021
Найти разность арифм прогрессии (d) если а1=7, а16=67...
ffghh1gfdd
18.11.2021
Владимир купил ремень в интернет-магазине за 200 рублей. в обычном магазине цена такого ремня 400 рублей. на сколько процентов выше цена на ремень в обычном магазине? заранее...
javajaaripo
24.04.2022
Задана функция f(x)=sin4xcos4x.найдите f (п/3)...
LI100K
14.08.2021
Решите уравнения (2х2 + х – 1)(2х2 + х – 4) + 2 = 0...
Настя34565688
21.07.2020
\frac{x - 2}{ x + 1} = \frac{2}{1 - x } + \frac{6}{ {x}^{2} - 1}x+1x−2=1−x2+x2−16 ...
Попова1234
16.03.2022
5 и 6 Во сколько раз увеличится периметр квадрата если его площадь увеличилась в 16раз?...
неизвесный1
19.08.2021
3,612 - 1,85x* w 1,1515 - 19 - 15, hp/.1 = -1 [3]...
MOGZ ответил
ДО ІТЬ БУДЬ ЛАСКА Написати завдання з англійсько написать задание с английского...
Напишите эссе на тему Қазақ тілі (90 слов)...
Группируйте данные государства в зависимости от их географического положения:...
Там, где возможно, подберите к ним синонимы или другие синонимиче- ские...
Назовите, кому принадлежат приведённые ниже крыла- тые выражения. 1. И...
решить геометрию больше нету...
Преобразуйте в многочлен стандартного вида: а) (x +10) (x-10); г) (4 —...
Спешите словосочетания,над качественными прилагательными напишите букву...
Выбери предложения, в которых есть имена существительные в родительном...
СОЧ Сократите дробь: . Представьте в виде дроби: . Выполните действия:...
Полный доступ к MOGZ
Живи умнее Безлимитный доступ к MOGZ
Оформи подписку
О НАС
О нас
Блог
Условия пользования
Авторское право
Политика конфиденциальности
Предпочтения cookie-файлов
ПОМОЩЬ
Зарегистрируйся
Центр помощи
Центр безопасности
App
Вход
Регистрация
Что ты хочешь узнать?
Спроси Mozg
Открыть лучший ответ