М
Молодежь
К
Компьютеры-и-электроника
Д
Дом-и-сад
С
Стиль-и-уход-за-собой
П
Праздники-и-традиции
Т
Транспорт
П
Путешествия
С
Семейная-жизнь
Ф
Философия-и-религия
Б
Без категории
М
Мир-работы
Х
Хобби-и-рукоделие
И
Искусство-и-развлечения
В
Взаимоотношения
З
Здоровье
К
Кулинария-и-гостеприимство
Ф
Финансы-и-бизнес
П
Питомцы-и-животные
О
Образование
О
Образование-и-коммуникации
amekekes
amekekes
16.03.2022 09:17 •  Алгебра

5x+3y=1 2x+6y=0 система урав.неравенств

👇
Ответ:
sashapeterov85
sashapeterov85
16.03.2022

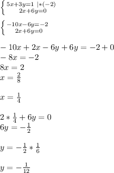
\left \{ {{5x+3y=1} \ | *(-2)\ \atop {2x+6y=0} \right. \\ \\ \left \{ {{-10x-6y=-2} \ \atop {2x+6y=0} \right. \\ \\ -10x+2x-6y+6y=-2+0\\ -8x=-2\\ 8x=2\\ x=\frac{2}{8}\\ \\ x=\frac{1}{4}\\ \\ 2*\frac{1}{4}+6y=0\\ 6y=-\frac{1}{2}\\ \\ y=-\frac{1}{2}*\frac{1}{6}\\ \\ y=-\frac{1}{12}

ответ: х=1/4,  у=-1/12

4,4(55 оценок)
Ответ:
Duka2003
Duka2003
16.03.2022

5x+3y=1

2x+6y=0

 

2х=-6y

х=-3y

 

5*(-3y)+3y=1

-15y+3y=1

-12y=1

y=-1/12

 

х=-3*(-1/12)

х=1/4

4,4(50 оценок)
Открыть все ответы
Ответ:
муза2007
муза2007
16.03.2022

1)x^2+9x+8   (x+1)(x+8)             (x+8)

==

3x^2+8x+5    3(x+1)(x+1 2/3)    3x+5


x^2+9x+8=0                         3x^2+8x+5=0

                                              D= 8^2-4*3*5=64-60=4

x1+x2=-9|                                       -8(+)-))2

                                              x1,2=

               |-8;-1                                 6   

x1x2=8   |                               x1=-1 ; x2=-1 2/3

2)

a)x(x+3)-4(x-5)=7(x+4)-8

x^2+3x-4x+20=7x+28-8

x^2-8x=0

x(x-8)=0

x=0         или х-8=0

                      х=8

б)2x^4-9x+4=0

D=(-9)^2-4*2*4=81-32=49

           9(+(-))7

x1,2=

              4

x1=4; x2=0.5


4,4(66 оценок)
Ответ:
svetaelia
svetaelia
16.03.2022
Пусть а - первое из четырех последовательных чисел.
Тогда:
а+1 - второе число,
а+2 - третье число,
а+3 - третье число.
а и а+1 - два меньших числа.
а+2 и а+3 - два больших числа.
а(а+1) - произведение меньших чисел.
(а+2)(а+3) - произведение больших чисел.
Уравнение:
(а+3)(а+2) - а(а+1) = 74
а^2 + 3а + 2а + 6 - а^2 - а = 74
5а + 6 - а = 74
4а = 74 - 6
4а = 68
а = 68 : 4
а = 17 - первое из натуральных чисел.
а+1 = 17+1 = 18 - второе число.
а+2 = 17+2 = 19 - третье число.
а+3 = 17+3 = 20 - четвертое число.
ответ: 17, 18, 19, 20
4,4(29 оценок)
Это интересно:
Новые ответы от MOGZ: Алгебра
logo
Вход Регистрация
Что ты хочешь узнать?
Спроси Mozg
Открыть лучший ответ