М
Молодежь
К
Компьютеры-и-электроника
Д
Дом-и-сад
С
Стиль-и-уход-за-собой
П
Праздники-и-традиции
Т
Транспорт
П
Путешествия
С
Семейная-жизнь
Ф
Философия-и-религия
Б
Без категории
М
Мир-работы
Х
Хобби-и-рукоделие
И
Искусство-и-развлечения
В
Взаимоотношения
З
Здоровье
К
Кулинария-и-гостеприимство
Ф
Финансы-и-бизнес
П
Питомцы-и-животные
О
Образование
О
Образование-и-коммуникации
hellooiooooooo
hellooiooooooo
07.03.2023 20:46 •  Алгебра

Решите неравенство (х+7)^3 ≥ 49(х+7)

👇
Ответ:
tysa133
tysa133
07.03.2023
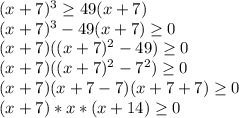
(x+7)^3 \geq 49(x+7)\\(x+7)^3-49(x+7) \geq 0\\(x+7)((x+7)^2-49) \geq 0\\(x+7)((x+7)^2-7^2) \geq 0\\(x+7)(x+7-7)(x+7+7) \geq 0\\(x+7)*x*(x+14) \geq 0

           -                            +                        -                              +
______________-14___________-7______________0____________

x∈[-14;-7]∨[0;+∞)
4,6(58 оценок)
Открыть все ответы
Ответ:
irina707
irina707
07.03.2023

Номер 463.

1) -7. Взять -7 мы можем, т.к. по условию оно нам подходит.

2) -4. Взять -3,7 не можем, т.к. нам по условию надо выбрать целое число.

3) 4. Взять 4,8 не можем, т.к. нам по условию надо выбрать целое число.

4) -6. Взять -5,6 не можем, т.к. нам по условию надо выбрать целое число.

Номере 464.

1) -11. Взять -11,9 не можем, т.к. нам по условию надо выбрать целое число.

2) -5. Взять -5,2 не можем, т.к. нам по условию надо выбрать целое число.

3) 9. Взять 8,1 не можем, т.к. нам по условию надо выбрать целое число.

4) -8. Взять -8,1 не можем, т.к. нам по условию надо выбрать целое число.

4,7(97 оценок)
Ответ:
prozorovamary23
prozorovamary23
07.03.2023
 1а)  Каждая монета может упасть либо орлом (О)  либо решкой (Р), то есть две возможности.Монет всего 3.Тогда число возможных событий для 3-х монет равно 2^3=8.Вот варианты:
 (РРР) (РРО) (РОР) (ОРР) (ООР) (ОРО) (РОО) (ООО)
Два раза орёл и один раз решка выпадает в трёх случаях (ООР)  (ОРО) (РОО).
Вероятность равна 3/8.
1б) Если монету бросают дважды, то возможны случаи
 (ОО) (ОР) (РО) (РР)
 Вероятность ХОТЯ бы один раз выпасть орлу равна 3/4.
 2) Двойка выпадает с вероятностью 1/6 и пятёрка выпадает с вероятностью 1/6 .
Вероятность того, что выпадет или 2 или 5 равна 1/6+1/6=2/6=1/3
б)Чисел, меньших 3, на кубике всего два.Чисел,не больших 3 (меньше или равно 3),на кубике всего 3.Вероятность события равна
 2/6*3/6=6/36=1/6
4,4(76 оценок)
Это интересно:
Новые ответы от MOGZ: Алгебра
logo
Вход Регистрация
Что ты хочешь узнать?
Спроси Mozg
Открыть лучший ответ