М
Молодежь
К
Компьютеры-и-электроника
Д
Дом-и-сад
С
Стиль-и-уход-за-собой
П
Праздники-и-традиции
Т
Транспорт
П
Путешествия
С
Семейная-жизнь
Ф
Философия-и-религия
Б
Без категории
М
Мир-работы
Х
Хобби-и-рукоделие
И
Искусство-и-развлечения
В
Взаимоотношения
З
Здоровье
К
Кулинария-и-гостеприимство
Ф
Финансы-и-бизнес
П
Питомцы-и-животные
О
Образование
О
Образование-и-коммуникации
JugerHangerKrag
JugerHangerKrag
21.06.2022 20:06 •  Алгебра

Вычислите: lim(стремится к +беск)3n/n+2 lim(стремится к +беск)n^2\2n^2-1 lim(стремится к +беск)2n^2-1\n^2+5 lim(стремится к +беск)n^3+n\n^2-1 lim(стремится к +беск)2-n\3-n^2 lim(стремится к +беск)n^2-1\n^3+n

👇
Ответ:
fgegegegeegrrfff
fgegegegeegrrfff
21.06.2022
Простые числа типа 1, 2, 3 можно убирать в пределах с бесконечностью(т.к. они очень маленькие по сравнению с бесконечностью и на ответ не влияют)

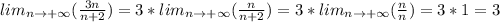
lim_{n\to+\infty}(\frac{3n}{n+2})=3*lim_{n\to+\infty}(\frac{n}{n+2})=3*lim_{n\to+\infty}(\frac{n}{n})=3*1=3

lim\frac{n^2}{2n^2-1}=\frac{1}{2}*lim_{x\to+\infty}(\frac{n^2}{n^2-\frac{1}{2}})=\frac{1}{2}*lim_{x\to+\infty}(\frac{n^2}{n^2}})=\\=\frac{1}{2}*1=\frac{1}{2}

lim_{n\to+\infty}(\frac{2n^2-1}{n^2+5})=2*lim_{n\to+\infty}(\frac{n^2-\frac{1}{2}}{n^2+5})=\\=2*lim_{n\to\infty}(\frac{n^2}{n^2})=2*1=2

lim_{n\to+\infty}(\frac{n^3+n}{n^2-1})=lim_{n\to+\infty}(\frac{n^3}{n^2-1}+\frac{n}{n^2-1})=lim_{n\to+\infty}(n+\frac{1}{n})=\\=+\infty

lim_{n\to+\infty}(\frac{2-n}{3-n^2})=lim_{n\to+\infty}(\frac{-(n-2)}{-(n^2-3)})=lim_{n\to+\infty}(\frac{n}{n^2})=\\=lim_{n\to+\infty}(\frac{1}{n})=0

lim_{n\to+\infty}(\frac{n^2-1}{n^3+n})=lim_{n\to+\infty}(\frac{n^2}{n(n^2+1)})=lim_{n\to+\infty}(\frac{n}{n^2+1})=\\=lim_{n\to+\infty}(\frac{n}{n^2})=lim_{n\to+\infty}(\frac{1}{n})=0
4,5(16 оценок)
Открыть все ответы
Ответ:
Dima7111
Dima7111
21.06.2022
1. Если это решение, то при подстановке координат в уравнение получим верное равенство. Проверяем: 2*(-3)-3*2=-6-6=-12 не равно нулю. Значит пара чисел (-3,2) не является решением данного уравнения.
2. х=у, тогда перепишем уравнение 3у-9у=18
-6у=18
у=-3
ответ:(-3,-3)
3. Подставляем в уравнение заместо у 2, получаем 4х-10=10
4х=20
х=5
ответ: точка А имеет абсциссу 2
4. Решим систему уравнений
а-2b=1    
-2a+7b=1
домножим первой уравнение на 2, получаем новую систему:
2a-4b=2
-2a+7b=1
Складываем эти уравнения, получаем 3b=3, b=1
Подставляем значение b в первое уравнение
а-2=1
а=3
ответ: 1
5. 23*(-1)+4*7=-23+28=5=5 является
6. х=у
у-7у=12
-6у=12
у=-2
ответ: (-2,-2)
7. 12*1-5у=23
12-5у=23
-5у=23-12
-5у=11
у=-5,5
ответ: ордината равна -5,5
4,6(57 оценок)
Ответ:
kisnasty951
kisnasty951
21.06.2022
1) Вася проезжает за 10 минут (10/60=1/6 часа) 4 круга, т.е. 500*4=2000 м =2 км.
v (скорость)= S (расстояние)/t (время)= 2/ (1/6)= 12 км/час – утверждение верно

2) S (расстояние, которое проехал Петя)=500*5=2500 м=2,5 км
t(время) = 15 минут=15/60=1/4 часа
v = 5*500/(1/4)=2,50/,25= 10 (км/час) - скорость с которой ехал Петя.
20% от 12 равно 2,4 (12*0,2)
12-2,4=9,6 км/час, а Петя ехал с большей скоростью - 10 км/час
скорость Васи на 20 % больше скорости Пети - утверждение не верно

3) Скорость сближения: 12+10=22 км/час
Расстояние: 500 м=0,5 км
Время встречи:
t=S/v=0,5/22=1,4 минуты
Если Петя и Вася одновременно стартуют из одной точки трека в разных направлениях, то до их встречи с момента старта пройдет больше 1,5 минут – утверждение не верно.

4) 50 минут = 50/60 = 5/6 часа
S=v*t=12*5/6=10 (км) – расстояние которое проедет Вася за 50 минут, т.е он проедет 10/0,5= 20 кругов
S=v*t=10*5/6=8 (км) - расстояние которое проедет Петя за 50 минут, т.е. он проедет 8/0,5 = 16 кругов.
20-16=4
Если Петя и Вася одновременно стартуют из одной точки трека в одном направлении, то за 50 минут будет четыре обгона – утверждение верно.
4,6(65 оценок)
Новые ответы от MOGZ: Алгебра
logo
Вход Регистрация
Что ты хочешь узнать?
Спроси Mozg
Открыть лучший ответ