М
Молодежь
К
Компьютеры-и-электроника
Д
Дом-и-сад
С
Стиль-и-уход-за-собой
П
Праздники-и-традиции
Т
Транспорт
П
Путешествия
С
Семейная-жизнь
Ф
Философия-и-религия
Б
Без категории
М
Мир-работы
Х
Хобби-и-рукоделие
И
Искусство-и-развлечения
В
Взаимоотношения
З
Здоровье
К
Кулинария-и-гостеприимство
Ф
Финансы-и-бизнес
П
Питомцы-и-животные
О
Образование
О
Образование-и-коммуникации
LetoForever
LetoForever
12.04.2022 07:54 •  Алгебра

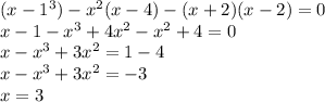
Решите уравнение (x-1^3)-x^2(x-4)-(x+2)(x-2)=0

👇
Ответ:
Tinochka173
Tinochka173
12.04.2022

(x - 1 {}^{3} ) - x {}^{2} (x - 4) - (x + 2)(x - 2) = 0 \\ x - 1 - x {}^{3} + 4x {}^{2} - x {}^{2} + 4 = 0 \\ x - x {}^{3} + 3x {}^{2} = 1 - 4 \\ x - x {}^{3} + 3 x{}^{2} = - 3 \\ x = 3

4,7(44 оценок)
Открыть все ответы
Ответ:
dcveergh
dcveergh
12.04.2022
В равнобедренном треугольнике медиана, проведенная к основанию, является биссектрисой и высотой.
Дано: А АВС — равнобедренный треугольник, АВ — основание, CD — медиана.
Доказать: CD — биссектриса и высота.
Доказательство. Треугольники CAD и CBD равны но второму признаку равенства треугольников (стороны АС и ВС равны, так как АВС — равнобедренный. Углы CAD и CBD равны как углы при основании равнобедренного треугольника. Стороны AD и BD равны, поскольку D — середина отрезка АВ) .
Из равенства треугольников CBD и CAD следует равенство углов:

Так как углы ACD и BCD равны, то CD — биссектриса. Поскольку углы ADC и BDC смежные и равны друг другу, они прямые. Следовательно, отрезок CD является также высотой треугольника АВС. Теорема доказана.
Таким образом, установлено, что биссектриса, медиана и высота равнобедренного треугольника, проведенные к основанию, совпадают. Поэтому справедливы также следующие утверждения:
1. Биссектриса равнобедренного треугольника, проведенная к основанию, является медианой и биссектрисой.
2. Высота равнобедренного треугольника, проведенная к основанию, является медианой и биссектрисой.
4,8(95 оценок)
Ответ:
Aarna
Aarna
12.04.2022
Дано:                                                  Решение:
S = 28 км
t₂ = t₁ - 1/15 ч                Скорость теплохода против течения:
v₀ = 1 км/ч                                            v₁ = v - v₀ = S/t₁
                Скорость теплохода по течению:
Найти: v - ?                                          v₂ = v + v₀ = S/t₂ = S/(t₁-1/15)
                            Тогда:
                                  v₂ - v₁ = 2v₀ = S/(t₁-1/15) - S/t₁
                                              (St₁-S(t₁-1/15))/(t₁²-t₁/15) = 2
                                               St₁-S(t₁-1/15) = 2(t₁²-t₁/15)
                                               28t₁-28t₁+28/15 = 2t₁²-2t₁/15
                                               2t₁²-2t₁/15-28/15 = 0
                                               15t₁² - t₁ - 14 = 0      D=b²-4ac=1+840=841=29²
                                   t₁₁ = (1-29)/30 = -28/30 - противоречит условию
                                   t₁₂ = (1+29)/30 = 1 (ч)      
                  
v₁ = v - 1 = S/t₁
       v - 1 = 28/1
       v = 29 (км/ч)

Проверим:
v₁t₁ = v₂(t₁-1/15)
28*1 = 30*(1-1/15)
28 = 30*14/15
28 = 28

ответ: 29 км/ч     
4,7(37 оценок)
Это интересно:
Новые ответы от MOGZ: Алгебра
logo
Вход Регистрация
Что ты хочешь узнать?
Спроси Mozg
Открыть лучший ответ