М
Молодежь
К
Компьютеры-и-электроника
Д
Дом-и-сад
С
Стиль-и-уход-за-собой
П
Праздники-и-традиции
Т
Транспорт
П
Путешествия
С
Семейная-жизнь
Ф
Философия-и-религия
Б
Без категории
М
Мир-работы
Х
Хобби-и-рукоделие
И
Искусство-и-развлечения
В
Взаимоотношения
З
Здоровье
К
Кулинария-и-гостеприимство
Ф
Финансы-и-бизнес
П
Питомцы-и-животные
О
Образование
О
Образование-и-коммуникации
kazah5676446
kazah5676446
07.03.2023 00:01 •  Алгебра

Дана арифмитическая прогрессия .вычислите сумму 4 членов если а6=0 d=2

👇
Ответ:
eligi2345
eligi2345
07.03.2023
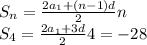
Первый член: a_1=a_n-(n-1)d=a_6-5d=-10

Сумма 4 членов: S_n= \frac{2a_1+(n-1)d}{2} n \\ S_4= \frac{2a_1+3d}{2} 4=-28

ответ: -28.
4,4(84 оценок)
Открыть все ответы
Ответ:
Limon2601
Limon2601
07.03.2023
Решение.
Находим первую производную функции:
y' = (x-4)² * (2*x-2)+(x-1)² * (2*x-8)
или
y' = 2(x-4)(x-1)(2*x-5)
Приравниваем ее к нулю:
2(x-4)(x-1)(2*x-5) = 0
x₁ = 1
x₂ = 5/2
x₃ = 4
Вычисляем значения функции 
f(1) = 0
f(5/2) = 81/16
f(4) = 0
ответ: fmin = 0; fmax = 81/16
Используем достаточное условие экстремума функции одной переменной. Найдем вторую производную:
y'' = 2(x-4)²+2(x-1)²+2(2*x-8)(2*x-2)
или
y'' = 12*x ²- 60*x + 66
Вычисляем:
y''(1) = 18>0 - значит точка x = 1 точка минимума функции.
y''(4) = 18>0 - значит точка x = 4 точка минимума функции.
4,5(53 оценок)
Ответ:
виктор238
виктор238
07.03.2023

ответ: 1/6  

Объяснение: умножаем числители, обратив внимание, что произведение их - это разность квадратов, свернем по формуле  

(у+1)*(у-1)=(у²-1)  

тогда выражение примет вид

(у+1)*(у-1)/(6*(у²-1))=(у²-1)/(6*(у²-1))=1/6  

сократил на (у²-1)

разложим знаменатель используя разность квадратов, т.е. формулу

а²-с²=(а-с)*(а+с), а здесь у, а с - единица, получим

(у+1)*(у-1)/(6*((у-1)*(у+1))=1/6, опять получили тот же ответ.

ответ: 1/6

(у+1)*(у-1)=(у²-1)

1)  ((у+1)/6)*(у-1)/(у²-1) - это условие.

теперь умножаем числитель на числитель. а знаменатель на знаменатель .первый результат в числитель запишем, второй в знаменатель.

2)  ((у+1)*(у-1))/(6*(у²-1) )

увидели, что в числителе формула. (у+1)*(у-1)=(у²-1) , записали ее в 3 шаге.

3) ((у+1)/6)*(у-1)/(у²-1) = ((у+1)*(у-1))/(6*(у²-1) )=(у²-1)//(6*(у²-1) )

увидели в числителе и знаменателе одинаковую скобку (у²-1) и сократили на нее, т.е. и числитель и знаменатель разделили на (у²-1)

в числителе получим единицу, т.к. делили на себя само число. а в знаменателе останется шесть. а теперь соберем последовательность, как и что записывать.

4)  ((у+1)/6)*(у-1)/(у²-1) = ((у+1)*(у-1))/(6*(у²-1) )=(у²-1)//(6*(у²-1) )=1/6

4,8(54 оценок)
Это интересно:
Новые ответы от MOGZ: Алгебра
logo
Вход Регистрация
Что ты хочешь узнать?
Спроси Mozg
Открыть лучший ответ