М
Молодежь
К
Компьютеры-и-электроника
Д
Дом-и-сад
С
Стиль-и-уход-за-собой
П
Праздники-и-традиции
Т
Транспорт
П
Путешествия
С
Семейная-жизнь
Ф
Философия-и-религия
Б
Без категории
М
Мир-работы
Х
Хобби-и-рукоделие
И
Искусство-и-развлечения
В
Взаимоотношения
З
Здоровье
К
Кулинария-и-гостеприимство
Ф
Финансы-и-бизнес
П
Питомцы-и-животные
О
Образование
О
Образование-и-коммуникации
1233456789
1233456789
04.09.2022 21:40 •  Алгебра

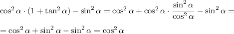
Cos^2a(1+tg^2a)-sin^2a=cos^2a докажите тождество

👇
Ответ:
\cos^2 \alpha \cdot (1+\tan^2 \alpha )-\sin^2 \alpha =\cos^2 \alpha +\cos^2 \alpha \cdot \dfrac{\sin^2 \alpha }{\cos^2 \alpha } -\sin^2 \alpha =\\\\=\cos^2 \alpha +\sin^2 \alpha -\sin^2 \alpha =\cos^2 \alpha
4,8(81 оценок)
Открыть все ответы
Ответ:
Это задача на производительность труда. 
http://free.megacampus.ru/xbookM0005/index.html?go=part-027*page.htm
здесь формулы.
t - время одной девочки, t+3 - время другой,
уравнение будет
1/t +  1/(t+3)  = 1/2/
решаем, получится квадратное уравнение  (tквадрат) -t -6 =0.
решаем его, получим корень с положительным значением = 3 часа.
Это время одной девочки, у другой будет 6 часов.
Проверка. Для первой девочки Всю квартиру она убирает за 3 часа, сколько уберет за 2 часа---пропорция  х=1*2 /3 = 2/3 части квартиры.
Для второй девочки всю квартиру убирает за 6 часов, за 2 часа уберет 1*2/6 =1/3 часть квартиры.  1/3+2/3 =1  -вся квартира за 2 часа--верно.
4,4(52 оценок)
Ответ:
nazuli
nazuli
04.09.2022
Пусть первый маляр выполнит работу за х дней; тогда второй маляр выполнит работу за х+1 дней; а третий маляр выполнит работу за х+4 дней;
производительность второго маляра равна 1/(х+1) часть работы за 1 день;
производительность второго маляра равна 1/(х+4) часть работы за 1 день;
совместная производительность второго и третьего маляров равна
1/(х+1) + 1/(х+4)=(х+4+х+1)/(х+1)(х+4)=(2х+5)/(х+1)(х+4) часть работы за 1 день;
а всю работу второй и третий маляр выполнят за
1: (2х+5)/(х+1)(х+4)=
(х+1)(х+4)/(2х+5) день;
По условию второй и третий маляры выполнят всю работу за то же время, что один первый маляр. Составим уравнение:
(х+1)(х+4)/(2х+5)=х;
(х+1)(х+4)=2х^2+5х;
х^2+5х+4=2х^2+5х;
х^2=4; х=2; первый маляр выполнит всю работу за 2 дня.
ответ: 2
4,6(28 оценок)
Это интересно:
Новые ответы от MOGZ: Алгебра
logo
Вход Регистрация
Что ты хочешь узнать?
Спроси Mozg
Открыть лучший ответ