М
Молодежь
К
Компьютеры-и-электроника
Д
Дом-и-сад
С
Стиль-и-уход-за-собой
П
Праздники-и-традиции
Т
Транспорт
П
Путешествия
С
Семейная-жизнь
Ф
Философия-и-религия
Б
Без категории
М
Мир-работы
Х
Хобби-и-рукоделие
И
Искусство-и-развлечения
В
Взаимоотношения
З
Здоровье
К
Кулинария-и-гостеприимство
Ф
Финансы-и-бизнес
П
Питомцы-и-животные
О
Образование
О
Образование-и-коммуникации
takhtarkina
takhtarkina
21.02.2021 06:49 •  Алгебра

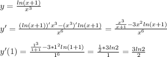
Найти производную функции y=ln(x+1)/x^3 при значении аргумента x=1

👇
Ответ:
LizaKrem
LizaKrem
21.02.2021
y= \frac{ln(x+1)}{x^3} \\ \\ y'= \frac{(ln(x+1))'x^3-(x^3)'ln(x+1)}{x^6} = \frac{ \frac{x^3}{x+1}-3x^2ln(x+1) }{x^6} \\ \\ y'(1)= \frac{ \frac{1^3}{1+1}-3*1^2ln(1+1) }{1^6}= \frac{ \frac{1}{2}*3ln2 }{1} = \frac{3ln2}{2}
4,7(40 оценок)
Открыть все ответы
Ответ:
ваниль2003
ваниль2003
21.02.2021
Система линейных уравнений, графиком каждого уравнения является прямая.
Система не имеет решений, значит графики не пересекаются.
Графики не пересекаются, значит прямые параллельны.
Надо ответить на вопрос, когда прямые параллельны.
Когда их коэффициенты при х и у пропорциональны
2:1=(-1):а  
а=-0,5

Но параллельные прямые могут совпасть, чтобы этого не случилось, надо чтобы отношение свободных коэффициентов не было пропорционально отношению коээфициентов при х и у.
В нашем случае это так
2:1≠5:2
ответ. а=-0,5
4,5(5 оценок)
Ответ:
saaashaaa4656
saaashaaa4656
21.02.2021
√675=15√3
15√3=√225*3
Мы просто раскладываем число 675 на два множителя. Из одного из них должен изыматься корень, из другого нет. Получаем √225*3. Изымаем корень из 225 и получаем 15.
Поэтому √675=15√3
Тоже самое с √108. Раскладываем на √36*3. Изымаем корень из 36, получаем 6. 6√3.
По сути, вы можете брать любые другие числа (не именно 225 и 36). Если трудно разложить, можно брать любые другие числа  (4, 9), из которых изымается корень, и на них делить исходное число.
Например: √108=√4*27=2√27=2√3*9=2*3√3=6√3
4,8(36 оценок)
Это интересно:
logo
Вход Регистрация
Что ты хочешь узнать?
Спроси Mozg
Открыть лучший ответ