М
Молодежь
К
Компьютеры-и-электроника
Д
Дом-и-сад
С
Стиль-и-уход-за-собой
П
Праздники-и-традиции
Т
Транспорт
П
Путешествия
С
Семейная-жизнь
Ф
Философия-и-религия
Б
Без категории
М
Мир-работы
Х
Хобби-и-рукоделие
И
Искусство-и-развлечения
В
Взаимоотношения
З
Здоровье
К
Кулинария-и-гостеприимство
Ф
Финансы-и-бизнес
П
Питомцы-и-животные
О
Образование
О
Образование-и-коммуникации
frid1999YT
frid1999YT
03.01.2020 20:05 •  Алгебра

1/х в квадрате(квадрат в знаменателе) < 1/4 какое будет решение? напишите скобки с бесконечностью и тд какие будут

👇
Ответ:
гуфиn
гуфиn
03.01.2020
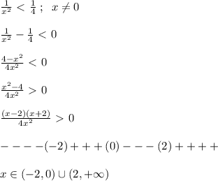
\frac{1}{x^2}\ \textless \ \frac{1}{4}\; ;\; \; x\ne 0\\\\\frac{1}{x^2}-\frac{1}{4}\ \textless \ 0\\\\\frac{4-x^2}{4x^2}\ \textless \ 0\\\\\frac{x^2-4}{4x^2}\ \textgreater \ 0\\\\\frac{(x-2)(x+2)}{4x^2}\ \textgreater \ 0\\\\----(-2)+++(0)---(2)++++\\\\x\in (-2,0)\cup (2,+\infty )
4,5(83 оценок)
Открыть все ответы
Ответ:
denchik83
denchik83
03.01.2020

ответ:

а) корни: y1=(5, 0) у2=(-10, 0)

б) х=9/2 или 4 1/2 или 4,5; корни: y1=(-6, 0) у2=(15, 0)

объяснение

а) y1=(x-5)^2 область определения x ∈ r

                минимум (5, 0)

                пересечение с осью координат (0, 25)

y2=(x+10)^5 область определения x ∈ r

                    пересечение с осью координат (0, 100000)

б) (x+6)^2=(15-x)^2

√(x+6)^2=√(15-x)^2

  |x+6| = |15-x|

    x+6 = 15-x                   x+6 = -(15-x)

    x+x+6 = 15                   x+6 = -15+x   → сокращаем иксы

    x+x = 15-6                     6 = -15

    2x = 9                           x ∈ ∅

    х=9/2

  y1=(x+6)^2 область определения x ∈ r

                минимум (-6, 0)

                пересечение с осью координат (0, 36)

y2=(15-х)^2 область определения x ∈ r

                    минимум (15, 0)

                    пересечение с осью координат (0, 225)

   

4,7(5 оценок)
Ответ:
freddylolbrO
freddylolbrO
03.01.2020

обозначим трапецию ABCD, BC=3, AB=CD ---равнобокая трапеция

диагональ BD делит угол ABC пополам => углы ABD=DBC

углы ADB=DBC как накрестлежащие при параллельных основаниях трапеции и секущей BD => углы ADB=ABD => треугольник ABD имеет равные углы при основании BD => треугольник ABD равнобедренный и AB=AD (против равных углов лежат равные стороны) =>

в трапеции AB=CD=AD и периметр P=42=3+3*AB

AB = 39/3 = 13

высоту найдем из прямоугольного треугольника ABK: AB=13, AK=(13-3)/2 = 5

высота BK = корень(13*13 - 5*5) = корень(144) = 12

Sтрапеции = 12*(13+3)/2 = 6*16 = 96

 

4,5(2 оценок)
Это интересно:
Новые ответы от MOGZ: Алгебра
logo
Вход Регистрация
Что ты хочешь узнать?
Спроси Mozg
Открыть лучший ответ