-6; -1.
Объяснение:
Уравнение вида
, где a, b, c - некоторые числа , x - переменная , называется квадратным.
- квадратное уравнение.
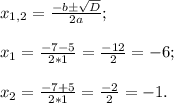
Найдем дискриминант по формуле:

Найдем корни квадратного уравнения по формуле:

Случайная величина X распределена по биномиальному закону.
Всего n = 7 испытаний. Вероятность успеха в одном испытании равна p = 0.4, тогда q = 1 - р = 0.6
1) Вероятность того, что стрелок попадет в цель ни разу

2) Вероятность того, что стрелок попадет в цель один раз

3) Вероятность того, что стрелок попадет в цель два раза

4) Вероятность того, что стрелок попадет в цель три раза

5) Вероятность того, что стрелок попадет в цель четыре раза

6) Вероятность того, что стрелок попадет в цель пять раз

7) Вероятность того, что стрелок попадет в цель шесть раз

8) Вероятность того, что стрелок попадет в цель 7 раз

Закон распределения случайной величины X:


Смотри вложение.............