 
                                                 
                                                Всё решается очень просто. Самое главное правильно сгруппировать слагаемые: 
sinx+sin2x+sin3x=0 
(sinx+sin3x)+sin2x=0 
То выражение, что получилось в скобках раскладывается на множители по известной формуле: 
sin a+sin b=2*sin (a+b)/2*cos(a-b)/2, поэтому (так как преобразования простые, то некоторые действия пропускаю) 
2*sin2х*cosх+sin2x=0 
sin2x(2cosx+1)=0 
Осталось решить два простых тригонометрических уравнения: 
sin2x=0 и cosx=-1/2 
Первое уравнение решается просто: х=pi*n/2 
Второе уравнение решается по формуле тригонометрии: 
cosx=a, x=(+-)arccosa+2*pi*n 
pi-это знаменитое число 3,14159 
n-любое целое число 
Вот и всё решение. 
 
                                                1)вместо х (во втором уравнении подставляем х),получается
4(3.5у)-3у=22
умножаем число на скобку
14у-3у=22
11у=22
у=2 вместо у подставляем в выражение х=3.5у
х=3.5*2
х=7
ответ. (7 и 2)
2)второе уравнение домножаем на 2(чтобы прировнять х)
6х-у=4
6х+10у=26(вычитаем из первого второе)
-11у=-22
у=2
х=-1(во второе уравнение вместо у подставляешь и считаешь)
ответ(-1 и 2)
3)-4(-3-0.5у)-3___4у=1
12-2у-44=1
-11__4=-11
у=-4
5х=-3+4
х=0.2
ответ(0.2и -4)
 
                                                 
                                                 
                                                 
                                                
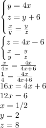
Получаются числа 0,5, 2 и 8
Но это не удовлетворяет условиям задачи, значит решений нет