М
Молодежь
К
Компьютеры-и-электроника
Д
Дом-и-сад
С
Стиль-и-уход-за-собой
П
Праздники-и-традиции
Т
Транспорт
П
Путешествия
С
Семейная-жизнь
Ф
Философия-и-религия
Б
Без категории
М
Мир-работы
Х
Хобби-и-рукоделие
И
Искусство-и-развлечения
В
Взаимоотношения
З
Здоровье
К
Кулинария-и-гостеприимство
Ф
Финансы-и-бизнес
П
Питомцы-и-животные
О
Образование
О
Образование-и-коммуникации
madmiss
madmiss
10.10.2020 07:45 •  Алгебра

Кто -нибудь по-жа-луй-ста решите уравнение надо 1)4x+3/y-7=y^2/7-y 2)1/3x-1 =x/27-x

👇
Ответ:
Anny2404
Anny2404
10.10.2020
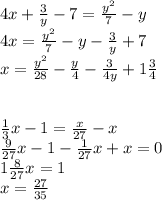
4x+\frac{3}y-7=\frac{y^2}7-y\\
4x=\frac{y^2}7-y-\frac{3}y+7\\
x=\frac{y^2}{28}-\frac{y}4-\frac{3}{4y}+1\frac{3}4\\
\\
\\
\frac{1}3x-1=\frac{x}{27}-x\\
\frac{9}{27}x-1-\frac{1}{27}x+x=0\\
1\frac{8}{27}x=1\\
x=\frac{27}{35}
4,5(83 оценок)
Открыть все ответы
Ответ:
omarckina2010
omarckina2010
10.10.2020
Обозначим lg(x)=y
если у=0 неравенство  верно.
Если y>0, то на него можно поделить и получить:
y^3-4y^2+5y-2=>0
или, что то же самое:
y^3-4y^2+4y+y-2=>0
y*(y-2)^2>(2-y)
Если у больше или равно 2 это верно.Если y<2 то поделив на у-2
получим у^2-2y меньше  -1,  (у-1)^2<0, что  невозможно. Значит у больше или равно 2.
Если  y<0
то y*(y-2)^2<(2-y)
обе части положительны
y^2-2y+1 >0  (y-1)^2>0 Значит y<0

х=>100 или 0<х<=1
ответ:  две области
х больше нуля и меньше либо равен 1
или
х  больше либо равен 100.
4,4(34 оценок)
Ответ:
ivanmyas
ivanmyas
10.10.2020
Обозначим lg(x)=y
если у=0 неравенство  верно.
Если y>0, то на него можно поделить и получить:
y^3-4y^2+5y-2=>0
или, что то же самое:
y^3-4y^2+4y+y-2=>0
y*(y-2)^2>(2-y)
Если у больше или равно 2 это верно.Если y<2 то поделив на у-2
получим у^2-2y меньше  -1,  (у-1)^2<0, что  невозможно. Значит у больше или равно 2.
Если  y<0
то y*(y-2)^2<(2-y)
обе части положительны
y^2-2y+1 >0  (y-1)^2>0 Значит y<0

х=>100 или 0<х<=1
ответ:  две области
х больше нуля и меньше либо равен 1
или
х  больше либо равен 100.
4,5(64 оценок)
Это интересно:
logo
Вход Регистрация
Что ты хочешь узнать?
Спроси Mozg
Открыть лучший ответ