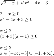
1) Разложим трехчлен (
) на множители, для этого решим уравнение:


; 
; 
2) 
3) Решаем неравенство:


≈
≈
+ - +
_______________
_________________
__________
∈ {
]
4) Общим решением с отрезком [-3;1] будет решение:
∈ [-3; 0,4]
5) Целыe решения, принадлежащие отрезку [-3; 0,4] таковы:
-3; -2; -1; 0
6) Находим их сумму:
(-3) + (-2) + (-1) + 0 = - 6
ответ: -6
ответ: начальная цена футбольного мяча 85 грн,
волейбольного мяча 140 грн.
Объяснение:
209.
Пусть футбольный мяч стоит - х грн, а волейбольный - у грн. ⇒
{4*х+3*у=760 {4x+3y=760
{(x-0,2x)+(y+0,1y)=222 {0,8x+1,1y=222 |×5 {4x+5,5y=1110
Вычитаем из второго уравнения первое:
2,5y=350 |÷2,5
y=140 ⇒
4x+3*140=760
4x+420=760
4x=340 |÷4
x=85.
210.
Пусть длина прямоугольника - х, а ширина- у. ⇒
{(x-2)*(y+4)=x*y+12 {xy+4x-2y-8=xy+12 {4x-2y=20 {4x-2y=20
{(x-1)*(y-1)=x*y-13 {xy-x-y+1=xy-13 {x+y=14 |×2 {2x+2y=28
Суммируем эти уравнения:
6x=48 |÷6
x=8 ⇒
8+y=14
y=6.
ответ: длина прямоугольника 8 м, ширина 6 м.
ответ: