М
Молодежь
К
Компьютеры-и-электроника
Д
Дом-и-сад
С
Стиль-и-уход-за-собой
П
Праздники-и-традиции
Т
Транспорт
П
Путешествия
С
Семейная-жизнь
Ф
Философия-и-религия
Б
Без категории
М
Мир-работы
Х
Хобби-и-рукоделие
И
Искусство-и-развлечения
В
Взаимоотношения
З
Здоровье
К
Кулинария-и-гостеприимство
Ф
Финансы-и-бизнес
П
Питомцы-и-животные
О
Образование
О
Образование-и-коммуникации
Нурка11лиса
Нурка11лиса
26.08.2020 08:47 •  Алгебра

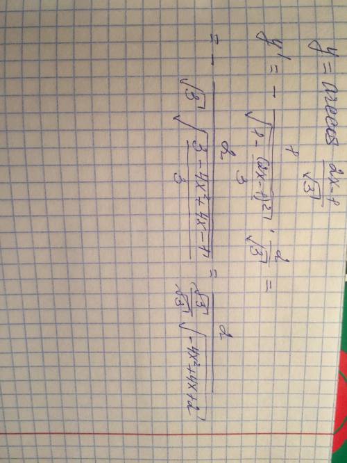
Найдите производную.y = arc \cos \frac{2x - 1}{ \sqrt{3} } ​​

👇
Ответ:
zinkovich92
zinkovich92
26.08.2020

производная====================================

Объяснение:


Найдите производную.<img src=​​" />
4,8(75 оценок)
Открыть все ответы
Ответ:
szhanibekov
szhanibekov
26.08.2020
Y = 20 - 9x - это уравнение расстояния от лодки до наблюдателя.
В начальный момент x = 0; y = 20.
В момент x = 2 будет y = 20 - 9*2 = 2 км - будет через 2 часа.
В момент x = -1 было y = 20 + 9 = 29 км - было за 1 час до нач. момента.
В момент x = 3 будет y = 20 - 9*3 = -7 км - будет через 3 часа.
Отрицательное расстояние означает, что лодка уже проехала мимо наблюдателя и уехала на 7 км в другую сторону.
Если же наблюдатель стоит на берегу, то лодка не может туда проехать, поэтому, доехав до наблюдателя в момент
y = 20 - 9x = 0; x = 20/9 = 2 2/9 часа, она остановится и будет y = 0 при любом x > 20/9.
4,4(64 оценок)
Ответ:
LuzuVloks
LuzuVloks
26.08.2020
Всего шаров: N-16+5+36-N=25
а)
После того, как шар был вынут и возвращен на место шансы вынуть шар распределены по цветам так же, как были распределены до этого.
Данная вероятность будет равна 1-(вероятность того, что все три шара имеют одинаковый цвет).

Если N-16>2 и 36-N>2, то эта вероятность равна:
1-{(N-16)^3+(36-N)^3+125\over25^3}={-60(N^2-52N+451)\over25^3}={60(N-11)(41-N)\over25^3}

Если N-16<3 то эта вероятность равна:
1-{(36-N)^3+125\over25^3}={N^3-108N^2+3888N-31156\over25^3}

Если 36-N<3 то эта вероятность равна:
1-{(N-16)^3+125\over25^3}={-N^3+48N^2-768N+19596\over25^3}

б)
После того, как шар был вынут, число шаров уменьшится, как и число шаров того же цвета, что и предыдущий, поэтому формула слегка поменяется:

Если N-16>2 и 36-N>2, то эта вероятность равна:
1-{(N-16)(N-17)(N-18)+(36-N)(35-N)(34-N)+5*4*3\over25*24*23}=\\={-6(9N^2-468N+4034)\over13800}

Если N-16<3 то эта вероятность равна:
1-{(36-N)(35-N)(34-N)+5*4*3\over25*24*23}=\\={N^3-105N^2+3674N-29100\over13800}

Если 36-N<3 то эта вероятность равна:
1-{(N-16)(N-17)(N-18)+5*4*3\over25*24*23}={-N^3+51N^2-866N+18636\over13800}
4,6(33 оценок)
Новые ответы от MOGZ: Алгебра
logo
Вход Регистрация
Что ты хочешь узнать?
Спроси Mozg
Открыть лучший ответ