М
Молодежь
К
Компьютеры-и-электроника
Д
Дом-и-сад
С
Стиль-и-уход-за-собой
П
Праздники-и-традиции
Т
Транспорт
П
Путешествия
С
Семейная-жизнь
Ф
Философия-и-религия
Б
Без категории
М
Мир-работы
Х
Хобби-и-рукоделие
И
Искусство-и-развлечения
В
Взаимоотношения
З
Здоровье
К
Кулинария-и-гостеприимство
Ф
Финансы-и-бизнес
П
Питомцы-и-животные
О
Образование
О
Образование-и-коммуникации

Решите систему х+у+ху=-1=х^2+xy+y^2=3

👇
Ответ:
ekimsev3
ekimsev3
26.04.2021
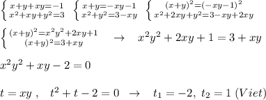
\left \{ {{x+y+xy=-1} \atop {x^2+xy+y^2=3}} \right. \; \left \{ {{x+y=-xy-1} \atop {x^2+y^2=3-xy}} \right. \; \left \{ {{(x+y)^2=(-xy-1)^2} \atop {x^2+2xy+y^2=3-xy+2xy}} \right. \\\\ \left \{ {{(x+y)^2=x^2y^2+2xy+1} \atop {(x+y)^2=3+xy}} \right. \; \; \; \to \; \; \; x^2y^2+2xy+1=3+xy\\\\x^2y^2+xy-2=0\\\\t=xy\; ,\; \; \; t^2+t-2=0\; \; \to \; \; \; t_1=-2,\; t_2=1\; (Viet)

a)\; \; \left \{ {{xy=-2} \atop {x+y=-xy-1}} \right. \; \left \{ {{xy=-2} \atop {x+y=1}} \right. \; \left \{ {{xy=-2} \atop {y=1-x}} \right.

x(1-x)=-2\; ,\; \; x-x^2=-2\; ,\; \; x^2-x-2=0\\\\x_1=-1\; ,\; \; x_2=2\\\\b)\; \; \left \{ {{xy=1} \atop {x+y=-2}} \right. \; \left \{ {{x(-x-2)=1} \atop {y=-x-2}} \right. \; \; \to \; \; \; -x^2-2x=1\\\\x^2+2x+1=0\; ,\; \; (x+1)^2=0\; ,\; \; x=-1\; \; \to \; \; y=-1\\\\Otvet:\; \; (-1,2)\; ,\; \; (-1,-1)\; .
4,4(89 оценок)
Открыть все ответы
Ответ:
vlerut1
vlerut1
26.04.2021
1) 5log b^2/a (a^2/b); если log a (b)=3

                                       log a  (a^2/b)        log a (a^2) - log a (b)
5log (b^2)/a (a^2/b)= 5·  = 5·  =
                                       log a  (b^2)/a        log a (b^2)-log a (a)  
       2- 3          (-1)
= 5  = 5 = -1
       2·3 -1         5

2) log 2 (a^1/3) , если log 4 (a^3)=9

log 4 (a^3)=9  ⇔3 log 4 (a)=9 ⇔ log 4 (a)=3

                        log 4 (a^1/3)    (1/3)log 4 (a)      1log 2 (a^1/3) = = = = 2
                         log 4 (2)           log 4 (√4)          1/2

3) lg2.5 если log 4(125) = a

log 4(125) = a   ⇔ log 4(5³) =3 log 4(5) =a  ⇔ log 4(5)=a/3
            log 4 (5/2)     log 4 (5)-log 4 (2)       a/3-1/2      2a-3lg2.5 = =   =  =
            log 4 (5·2)      log 4 (5) +log 4 (2)    a/3 +1/2    2a+3
4,5(30 оценок)
Ответ:
anastasia1medvedeva
anastasia1medvedeva
26.04.2021
Итак. мы имеем произведение двух множителей. оно может быть больше либо равным нулю,если
1) оба множителя больше нуля.
2) оба множителя меньше нуля. но! log5 не может быть меньше нуля. в какую степень нужно возвести 5чтобы получить отрицательное число? да ни в какую. не получится просто.
3) один из множителей равен 0. т.е. либо х-1=0. либо логарифм равен нулю. если логарифм равен нулю,то 5^0=1. т.е. 4-х=1

все эти условия можно записать в виде системы. т.е. х-1 либо больше нуля,либо равен нулю. и одз логарифма 4-х>0 сюда же входит случай,когда логарифм равен нулю.
решение записано на листочке. т к. у нас спрашивают количество целых решений. просто посчитаем их на получившемся промежутке. сюда вхрдТ точки 1,2,3. точка 4 в промежуток не включена.
ответ :3 решения
Найдите количество всех целых решений неравенства (х-1)*log5(4-x)≥0
4,8(9 оценок)
Это интересно:
Новые ответы от MOGZ: Алгебра
logo
Вход Регистрация
Что ты хочешь узнать?
Спроси Mozg
Открыть лучший ответ