Моё любимое животное!!!Мое самое любимое животное это мой домашний кот) он большой,и очень ласковый, живет он у нас уже 4ый год.Вы даже не представляете на сколько он красивый!!Мой кот 3х цветный, эти цвета: серый,белый и рыжий. Всегда когда он наедаеться у него становиться большое туловище,порой смешно когда после еды, он в таком положении ходит по квартире)! Особенно мне всегда приятно смотреть на его глаза,когда я ложусь спать то беру своего кота в постель, мне так приятно смотреть на его голубо-зеленый глаза с медовым оттенком). Порода этого кота Скоттиш Фолд- поэтому у него такие крупные красивые лапки! Конечно это достовляет большое удовольствие но а самое главное это характеп моего кота) порой он ласковый,а иногда бывает скучным и нудным, а часто смешным!!Живет он у нас в квартире вместес моей мамой, мы его очень любим. А кормим мы его чаще всего кормом, а иногда даем мясо. Я его очень сильно люблю
Олжас + Дима = 10 дней
- производительность Олжаса;
- производительность Димы;
- производительность Антона;
















- нарубит дрова Олжас.
- нарубит дрова Дима.
- нарубит дрова Антон.
дня, Дима - 18 дней, Антон - 90 дней.
Дима + Антон = 15 дней
Олжас + Антон = 18 дней
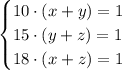
Обозначим, х - Олжас, у - Дима, z - Антон
1 - вся работа
исходя из данных условия задачи составим систему уравнений и решим её
подставляем в (3) уравнение
ответ: Олжас -