М
Молодежь
К
Компьютеры-и-электроника
Д
Дом-и-сад
С
Стиль-и-уход-за-собой
П
Праздники-и-традиции
Т
Транспорт
П
Путешествия
С
Семейная-жизнь
Ф
Философия-и-религия
Б
Без категории
М
Мир-работы
Х
Хобби-и-рукоделие
И
Искусство-и-развлечения
В
Взаимоотношения
З
Здоровье
К
Кулинария-и-гостеприимство
Ф
Финансы-и-бизнес
П
Питомцы-и-животные
О
Образование
О
Образование-и-коммуникации
Антонио789176
Антонио789176
03.11.2020 03:41 •  Алгебра

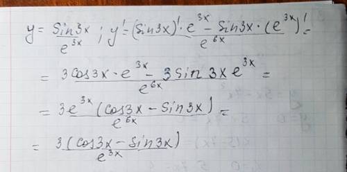
Найдите производную функции у=sin3x/e^3x

👇
Ответ:
Комарова23
Комарова23
03.11.2020
Решение задания смотри на фотографии
Найдите производную функции у=sin3x/e^3x
4,5(32 оценок)
Открыть все ответы
Ответ:
lelyaklochkova
lelyaklochkova
03.11.2020

Будем считать, что задано уравнение: 4 – 5cos7x – 2sin²7x = 0.

Заменим 2sin²7x = 2(1 - cos²7x):

4 – 5cos7x – 2(1 - cos²7x) = 0. Заменим cos7x = t и получим квадратное уравнение: 2 - 5t + 2t² = 0.

Квадратное уравнение, решаем относительно t:  


Ищем дискриминант:


D=(-5)^2-4*2*2=25-4*2*2=25-8*2=25-16=9;



Дискриминант больше 0, уравнение имеет 2 корня:


t_1=(√9-(-5))/(2*2)=(3-(-5))/(2*2)=(3+5)/(2*2)=8/(2*2)=8/4=2 (нет по ОДЗ;


t_2=(-√9-(-5))/(2*2)=(-3-(-5))/(2*2)=(-3+5)/(2*2)=2/(2*2)=2/4=1/2.

Обратная замена: cos7x = 1/2.

7х = 2πk +- (π/3),  k ∈ Z.

ответ: х = (2/7)πk +- (π/21),  k ∈ Z.

4,6(65 оценок)
Ответ:
Игорь981
Игорь981
03.11.2020
{х²+у²=10
{х²+у=р

р-?

х²+у²-х²-у=(10-р)
у²-у+(р-10)=0
D=(-(-1))²-4×1×(p-10)=1+4(p-10)=1-4p+40=-4p+41.
D=0
-4p+41=0
-4p=-41|÷(-4)

p=41/4=10(1/4)=10,25

y²-y-((41/4)-10)=0
y²-y-1/4=0
D=(-(-1))²-4×1×(-(1/4))=1+1=2
y1=(-(-1)-√2)/2×1=(1-√2)/2=(1-1,41)/2=-0,205
y2=(-(-1)+√2)/2×1=(1+√2)/2=(1+1,41)/2=1,205

(x1)²+y1=p
(x1)²-(-0,205)=10,25
(x1)²+0,205=10,25
(x1)²=10,25-0,205
(x1)²=10,045
(x1)1=-3,17
(x1)2=3,17

(x2)²+y2=p
(x2)²+1,205=10,25
(x2)²=10,25-1,205
(x2)²=9,045
(x2)1=-3,01
(x2)2=3,01

ответ: р=10,25, (-3,17;-0,205), (3,17;-0,205), (-3,01;1,205), (3,01;1,205)
4,8(52 оценок)
Это интересно:
Новые ответы от MOGZ: Алгебра
logo
Вход Регистрация
Что ты хочешь узнать?
Спроси Mozg
Открыть лучший ответ