М
Молодежь
К
Компьютеры-и-электроника
Д
Дом-и-сад
С
Стиль-и-уход-за-собой
П
Праздники-и-традиции
Т
Транспорт
П
Путешествия
С
Семейная-жизнь
Ф
Философия-и-религия
Б
Без категории
М
Мир-работы
Х
Хобби-и-рукоделие
И
Искусство-и-развлечения
В
Взаимоотношения
З
Здоровье
К
Кулинария-и-гостеприимство
Ф
Финансы-и-бизнес
П
Питомцы-и-животные
О
Образование
О
Образование-и-коммуникации
tanyagorelik
tanyagorelik
16.06.2020 19:22 •  Алгебра

Какие два числа нужно вставить между числами 3 и -192, чтобы они вместе представляли прогрессию

👇
Ответ:
Онил180
Онил180
16.06.2020
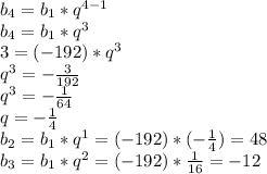
b_4=b_1*q^{4-1} \\ b_4=b_1*q^{3} \\ 3=(-192)*q^3 \\ q^3=- \frac{3}{192} \\ q^3=- \frac{1}{64} \\ q=- \frac{1}{4} \\ b_2=b_1*q^1=(-192)* (-\frac{1}{4})=48 \\ b_3=b_1*q^2=(-192)* \frac{1}{16}=-12
ответ: 48 и -12.
4,4(71 оценок)
Открыть все ответы
Ответ:
thankay
thankay
16.06.2020
Это уравнение с одним неизвестным с, только, как мне кажется, оно записано с ошибкой, здесь надо выражение 3с - 1 взять в скобки, потому что иначе получается, что на 14 надо делить (-1), а не (3с - 1):
Общий знаменатель в данном случае - 14. Поэтому первую дробь домножаем на 2 и "двойку" во второй части уравнения домножаем на 14. Получаем после этого уравнение:
2с - (3с - 1) = 2 * 14         Открываем скобки:
2с - 3с + 1 = 28
-с = 27
с = -27
Всегда стоит проверять, правильно ли решено, т.е. подставить полученное решение с = -27 в данное уравнение. Если обе части уравнения окажутся равны, то решение правильное.
4,7(58 оценок)
Ответ:
helppliz5
helppliz5
16.06.2020
Пишу ход своих мыслей: Если скорость одного велосипедиста больше на  3 км/ч.,  но известно, что один велосипедист преодолевает этот путь на один час быстрее, тогда:
1) 36:4=9 км/ч - скорость велосипедиста преодолевшего путь на 1 час позже.
2) 9+3=12 км/ч -скорость  велосипедиста преодолевшего путь на 1 час быстрее.
3) 36:12=3 ч. время велосипедиста преодолевшего путь на 1 час быстрее
4) 36:9=4 ч. время велосипедиста преодолевшего путь на 1 час позже
 ответ: 9  км/ч скорость первого велосипедиста, 12 км/ч скорость второго велосипедиста.
4,5(46 оценок)
Новые ответы от MOGZ: Алгебра
logo
Вход Регистрация
Что ты хочешь узнать?
Спроси Mozg
Открыть лучший ответ