М
Молодежь
К
Компьютеры-и-электроника
Д
Дом-и-сад
С
Стиль-и-уход-за-собой
П
Праздники-и-традиции
Т
Транспорт
П
Путешествия
С
Семейная-жизнь
Ф
Философия-и-религия
Б
Без категории
М
Мир-работы
Х
Хобби-и-рукоделие
И
Искусство-и-развлечения
В
Взаимоотношения
З
Здоровье
К
Кулинария-и-гостеприимство
Ф
Финансы-и-бизнес
П
Питомцы-и-животные
О
Образование
О
Образование-и-коммуникации
kostf2003
kostf2003
19.06.2021 14:25 •  Алгебра

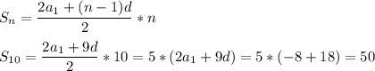
Перший член арефметичної прогресії a1 = -4, a різниця прогресії d = 2. чому дорівнює сума десяти перших членів прогресії? будь ласка зробіть дуже швидко.

👇
Ответ:
nosia
nosia
19.06.2021
S_n= \dfrac{2a_1+(n-1)d}{2} *n\\ \\ S_{10}= \dfrac{2a_1+9d}{2}*10=5*(2a_1+9d)= 5*(-8+18)=50
4,6(38 оценок)
Открыть все ответы
Ответ:
daniltyrov719
daniltyrov719
19.06.2021
Пусть вклад увеличивался каждый раз в х раз у рублей первоначальная сумма ху руб сумма после первого начисления процентов тогда 1) ху -у =400 или у(х-1) =400 (ху+ 600 )р сумма второго вклада х(ху +600) р сумма после второго начисления процентов 2) х(ху +600) =5500 решим систему из двух уравнений 1) у(х-1) =400 и 2) х(ху +600) =5500 из первого уравнения у= 400/ (х-1) и подставляя во второе получим  10х² -61х +55 =0 откуда х=1,1 и х=5 (посторонний корень) вклад каждый раз увеличивался в 1,1 раза или на 10% (( 1,1 -1) *100% =10%) ответ 10%
4,5(53 оценок)
Ответ:
theslomsmon
theslomsmon
19.06.2021

а) {x-y-1=0
     {x+y-5=0

х=1+у

1+у+у-5=0

2у=4

у=2

х=1+у=1+2

х=3

 {x-y-2=0
     {x+y-6=0

х=6-у

6-у-у-2=0

-2у=-4

у=2

х=6-у=6-2

х=4

в) {x-y-2=0
     {3x-2y-9=0

х=2+у

3(2+у)-2у-9=0

6+3у-2у-9=0

у=3

х=2+у=2+3

х=5

г) {x-2y-3=0
    {5x+y-4=0

х=3+2у

5x+y-4=0

5(3+2у)+у-4=0

15+10у+у-4=0

11у=-11

у=-1

х=3+2у=3+2(-1)=3-2

х=1

{x+2y-11=0
     {4x-5y+8=0

х=11-2у

4х-5у+8=0

4(11-2у)-5у+8=0

44-8у-5у+8=0

-13у=52

у=-4

х=11-2у=11-2(-4)=11+8

х=19

  {x+4y-2=0

     {3x+8y-2=0 

х=2-4у

3(2-4у)+8у-2=0

6-12у+8у-2=0

-4у=-4

у=1

х=2-4у=2-4*1=2-4

х=-2

 

 

 

 

 

 

 

 

 

 

 

 

 

 

 

 

 

 

 

 

 

 

 

 

 

 

 

 

 

 

 

 

 

 

 

 

 

 

 

 

 

 

 

 

 

 

 

 

 

 

 

 

 

 

 

 

 

 

 

 

 

 

 

 

 

 

 

 

 

 

 

 

 

4,8(88 оценок)
logo
Вход Регистрация
Что ты хочешь узнать?
Спроси Mozg
Открыть лучший ответ