М
Молодежь
К
Компьютеры-и-электроника
Д
Дом-и-сад
С
Стиль-и-уход-за-собой
П
Праздники-и-традиции
Т
Транспорт
П
Путешествия
С
Семейная-жизнь
Ф
Философия-и-религия
Б
Без категории
М
Мир-работы
Х
Хобби-и-рукоделие
И
Искусство-и-развлечения
В
Взаимоотношения
З
Здоровье
К
Кулинария-и-гостеприимство
Ф
Финансы-и-бизнес
П
Питомцы-и-животные
О
Образование
О
Образование-и-коммуникации
viktoriy2009
viktoriy2009
26.04.2021 07:41 •  Алгебра

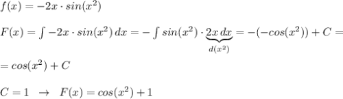
Какие из функций будут первообразными функции f(x)=-2x*sin(x^2) 1. f(x)=cos(x^2)+1 2. f(x)=sin(x^2)-1 3. f(x)=-cos(x^2)+x

👇
Ответ:
Препод007
Препод007
26.04.2021
f(x)=-2x\cdot sin(x^2)\\\\F(x)=\int -2x\cdot sin(x^2)\, dx=-\int sin(x^2)\cdot \underbrace {2x\, dx}_{d(x^2)}=-(-cos(x^2))+C=\\\\=cos(x^2)+C\\\\C=1\; \; \to \; \; F(x)=cos(x^2)+1

ответ  №1 .
4,5(77 оценок)
Открыть все ответы
Ответ:
artur731
artur731
26.04.2021
Пусть a, b, c - эти числа. Тогда по свойству геометрической прогрессии:
b² = a·c
По свойству арифметической прогрессии:
5b/3 = (a + c)/2
b = 3(a + c)/10
b² = 9(a² + 2ac + c²)/100
b² = ac

9(a² + 2ac + c²)/100 = ac
9a² - 82ac + 9c² = 0                  разделим на а²
9(c/a)² - 82c/a + 1 = 0
c/a = t
9t² - 82t + 1 = 0
D/4 = 41² - 9·9 = 1681 - 81 = 1600
t = (41+ 40)/9 = 9                t = (41 - 40)/9 = 1/9
c/a = q²
q² = 9  или  q² = 1/9
q = 3 или -3    q = 1/3  или  -1/3
Так как прогрессия возрастающая, подходит одно значение 3
4,5(53 оценок)
Ответ:
Fajeh
Fajeh
26.04.2021

Для построения графика функции у = -3sinx поступаем так:

1) строим график функции у = sinx, зная, что эта функция нечетная и ее график проходит через точки (0;0), (π/2; 1), (π;0) и (3π/2; -1) и т.д. и затем строим его часть, симметричную относительно начала координат, учитывая, что нужный график - это граафик нечетной функции (на рис. - черного цвета);

2) затем строим график функции у = 3sinx, учитывая, что он как бы "растягивается" вдоль оси Оу в 3 раза (на рис. -синего цвета);

3) затем строим график функции у = -3sinx, отражая его симметрично относительно оси Ох (на рис. - красного цвета).



Постройте график функции y = -3sinx
4,4(4 оценок)
Это интересно:
Новые ответы от MOGZ: Алгебра
logo
Вход Регистрация
Что ты хочешь узнать?
Спроси Mozg
Открыть лучший ответ