М
Молодежь
К
Компьютеры-и-электроника
Д
Дом-и-сад
С
Стиль-и-уход-за-собой
П
Праздники-и-традиции
Т
Транспорт
П
Путешествия
С
Семейная-жизнь
Ф
Философия-и-религия
Б
Без категории
М
Мир-работы
Х
Хобби-и-рукоделие
И
Искусство-и-развлечения
В
Взаимоотношения
З
Здоровье
К
Кулинария-и-гостеприимство
Ф
Финансы-и-бизнес
П
Питомцы-и-животные
О
Образование
О
Образование-и-коммуникации
Filil
Filil
09.06.2023 10:46 •  Алгебра

Cos 2pi/31 cos 8pi/31 cos 16pi/31 cos 32pi/31=1/32 доказать тождество. ответ= верное тождество

👇
Ответ:
emotuz60p011ls
emotuz60p011ls
09.06.2023
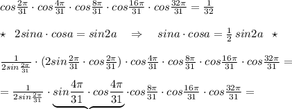
cos\frac{2\pi }{31}\cdot cos\frac{4\pi }{31}\cdot cos\frac{8\pi }{31}\cdot cos\frac{16\pi }{31}\cdot cos\frac{32\pi }{31}= \frac{1}{32} \\\\\star \; \; 2sina\cdot cosa=sin2a\quad \Rightarrow \quad sina\cdot cosa= \frac{1}{2} \, sin2a\; \; \star \\\\ \frac{1}{2sin\frac{2\pi}{31}} \cdot (2sin\frac{2\pi }{31}\cdot cos\frac{2\pi }{31})\cdot cos\frac{4\pi }{31}\cdot cos\frac{8\pi }{31}\cdot cos\frac{16\pi }{31}\cdot cos\frac{32\pi }{31}=\\\\= \frac{1}{2sin\frac{2\pi}{31}}\cdot \underbrace {sin\frac{4\pi }{31}\cdot cos\frac{4\pi }{31}}\cdot cos\frac{8\pi }{31}\cdot cos\frac{16\pi }{31}\cdot cos\frac{32\pi }{31}=

= \frac{1}{2sin\frac{2\pi}{31}}\cdot \frac{1}{2}\cdot \underbrace {sin\frac{8\pi }{31}\cdot cos\frac{8\pi }{31}}\cdot cos\frac{16\pi }{31}\cdot cos\frac{32\pi }{31}=\\\\=\frac{1}{4sin\frac{2\pi }{31}}\cdot \frac{1}{2}\cdot \underbrace {sin\frac{16\pi }{31}\cdot cos\frac{16\pi }{31}}\cdot cos\frac{32\pi }{31}=\\\\= \frac{1}{8sin\frac{2\pi}{31}}\cdot \frac{1}{2}\cdot \underbrace {sin\frac{32\pi }{31}\cdot cos\frac{32\pi }{31}}= \frac{1}{16sin\frac{2\pi}{31}}\cdot \frac{1}{2}\cdot sin\frac{64\pi }{31}=

= \frac{1}{32sin\frac{2\pi}{31}}\cdot sin\frac{62\pi +2\pi }{31}=\frac{1}{32sin\frac{2\pi}{31}}\cdot sin(2\pi +\frac{2\pi }{31})=

=\frac{1}{32sin\frac{2\pi}{31}}\cdot sin\frac{2\pi }{31}=\frac{1}{32}
4,4(11 оценок)
Открыть все ответы
Ответ:
kolyuchka
kolyuchka
09.06.2023
Примем работу за 1.
Паша и Игорь покрасят 1/10 часть забора в час:
П+И=1/10
Паша и Володя покрасят 1/12 часть забора в час:
П+В=1/12
Володя и Игорь покрасят 1/15 часть забора в час:
В+И=1/15
Приведём к общему знаменателю:
П+И=1/10
П+В=1/12
В+И=1/15

Приведём к общему знаменателю:
П+И=6/60
П+В=5/60
В+И=4/60
2*(П+И+В)=6/60+5/60+4/60=15/60=1/4
П+И+В=1/4:2=1/8 часть забора покрасят трое ребят за 1 час.
1:1/8=8 (часов) - трое ребят покрасят забор
(8 часов=480 минут)
ответ: трое ребят покрасят забор за 8 часов (480 минут).
4,7(76 оценок)
Ответ:
804mdv
804mdv
09.06.2023
1 - вся работа
х (1/ч) - производительность Игоря
у (1/ч) - производительность Паши
z (1/ч) - производительность Володи
{1  + 1  =  1  
 х     у      10
{1  +  1  =  1  
 у      z      12
{1  +   1  =  1  
 z       x      15 
1  = 1  -  1 
x     10    y
1 =  1 - 1 
z    12   y
1  = 1  -  1  =  1  -  1  +  1  = 10 - 15 + 1  =  - 1  + 1
z     15    x     15    10    y         150     y       30    y
-1 + 1 = 1 - 1
30   y    12  y
1 + 1 =  1 + 1 
y    y    12   30
2 =  5 + 2
y        60
2  =  7 
y     60
1 = 7  
y   120
1 =  1 -  7    =12-7  =  5   
х    10  120     120     120
1 = 1  - 7    =  10-7  =  3  
z    12  120      120     120
1 + 1 + 1 = 7  +  5  +  3   =   15  =  1  - общая производительность всех
x    y    z         120              120     8      троих ребят
8 ч = 8*60=480 (мин) - втроем ребята покрасят забор.
ответ: 480 мин
4,6(18 оценок)
Это интересно:
Новые ответы от MOGZ: Алгебра
logo
Вход Регистрация
Что ты хочешь узнать?
Спроси Mozg
Открыть лучший ответ