М
Молодежь
К
Компьютеры-и-электроника
Д
Дом-и-сад
С
Стиль-и-уход-за-собой
П
Праздники-и-традиции
Т
Транспорт
П
Путешествия
С
Семейная-жизнь
Ф
Философия-и-религия
Б
Без категории
М
Мир-работы
Х
Хобби-и-рукоделие
И
Искусство-и-развлечения
В
Взаимоотношения
З
Здоровье
К
Кулинария-и-гостеприимство
Ф
Финансы-и-бизнес
П
Питомцы-и-животные
О
Образование
О
Образование-и-коммуникации
Liza6789456
Liza6789456
30.07.2020 02:54 •  Алгебра

Разложите квадратный трехчлен на линейные множетили. х²-4х-12= х²+16х+55= 3х²+34х+40= 8х²-50х+33=

👇
Ответ:
evgeniaberezka
evgeniaberezka
30.07.2020
1)
x^2-4x-12 \\ x^2+2x-6x-12 \\ x(x+2)-6(x+2) \\ (x-6)(x+2)

2)
x^2+16x+55 \\ x^2+11x+5x+55\\ x(x+11)+5(x+11)\\ (x+5)(x+11)

3)
3x^2+34x+40\\ 3x^2+30x+4x+40\\ 3x(x+10)+4(x+10)\\ (3x+4)(x+10)

4)
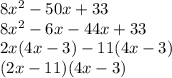
8x^2-50x+33\\ 8x^2-6x-44x+33\\ 2x(4x-3)-11(4x-3)\\ (2x-11)(4x-3)
4,8(7 оценок)
Открыть все ответы
Ответ:
lera111222
lera111222
30.07.2020

у рядку "вітерець(заснув, прокинувся, вибіг, побіг)" дієслова вжиті у переносному значенні. природньому явищу - вітерцю- приписуються дії, які притаманні поведінці живих істот. приклад вживання:

- грайливий вітерець побіг верхів*ям молодих берізок

- літній вітерець, награвшись досхочу у зеленім листі, заснув серед медових трав

 

очеретина зашепотіла - дієслово вжито у переносному значенні(очеретина не має рота, аби шепотіти)

 

метелик спав, прокинувся, полетів - дієслова тут вжиті у прямому значенні

 

4,7(33 оценок)
Ответ:
alenalove3
alenalove3
30.07.2020

1) 13x⁵ + 27x⁵ - 107x⁵ = 40x⁵ - 107x⁵ = -67x⁵

2) 4.1a³ + 0.48a³ - 10b² - 4.58a³ = -10b² (здесь при выполнении действий с "а³" получается 0)

3) 5a² - 3b² + a² + 3b² = 6a² (3b² и  -3b² взаимоуничтожаются)

4) 1.3a - 2.7b² + 2.7а - 0.3b² = 4a - 3b²

5) 1\3 xy - 2y² + 2\3 xy - y² + xy = 2xy - 3y²

6) 2cd² - 2dc² +3cd² + 1.1d²c² + 2dc² = 2cd² +3cd² + 1.1d²c² = 5cd² + 1.1d²c² (2dc² и -2dc² взаимоуничтожаются)

Объяснение:

В этой теме вас учат раскладывать числа по группам и только в этих группах проводить сложение и вычитание. Т.е. отдельные группы: х², ху, х, а, а² и тд

4,8(52 оценок)
Это интересно:
Полный доступ к MOGZ
Живи умнее Безлимитный доступ к MOGZ Оформи подписку
logo
Вход Регистрация
Что ты хочешь узнать?
Спроси Mozg
Открыть лучший ответ