М
Молодежь
К
Компьютеры-и-электроника
Д
Дом-и-сад
С
Стиль-и-уход-за-собой
П
Праздники-и-традиции
Т
Транспорт
П
Путешествия
С
Семейная-жизнь
Ф
Философия-и-религия
Б
Без категории
М
Мир-работы
Х
Хобби-и-рукоделие
И
Искусство-и-развлечения
В
Взаимоотношения
З
Здоровье
К
Кулинария-и-гостеприимство
Ф
Финансы-и-бизнес
П
Питомцы-и-животные
О
Образование
О
Образование-и-коммуникации
gravasamp
gravasamp
20.11.2021 08:39 •  Алгебра

Найти определенный интеграл x* arctg x dx, предел интегрирования от 0 до 1

👇
Ответ:
Kiralex71
Kiralex71
20.11.2021
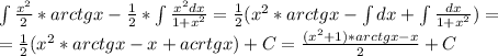
Интегрируем по частям неопределенный интеграл:
\int {x*arctgx} \, dx
u=arctgx => du= \frac{dx}{1+x^2}
dv=xdx => v= \frac{x^2}{2}
\int (udv) =uv-\int (vdu)
\int { \frac{x^2}{2} *arctgx- \frac{1}{2}* \int \frac{x^2dx}{1+x^2} } = \frac{1}{2} (x^2*arctgx-\int dx+\int \frac{dx}{1+x^2} )=\\= \frac{1}{2}(x^2*arctgx-x+acrtgx )+C= \frac{(x^2+1)*arctgx-x}{2} +C
теперь решаем определенный интеграл:
\int\limits^1_0 {x*arctgx} \, dx=(\frac{(x^2+1)*arctgx-x}{2} )\int\limits^1_0= \frac{2*arctg(1)-1}{2} - \frac{arctg(0)-0}{2} = \frac{ \frac{\pi}{2}-1}{2}\\= \frac{\pi-2}{4}
4,8(19 оценок)
Ответ:
ИришкаTV
ИришкаTV
20.11.2021
.............................................................................
Найти определенный интеграл x* arctg x dx, предел интегрирования от 0 до 1
4,6(1 оценок)
Открыть все ответы
Ответ:
Если графики пересекаются, значит имеют общую точку (х;у). Тогда можно сделать вывод, что 3х-3=х-1 (х-1 взято из у+1-х=0, если у оставить в одной стороне, а другое перенести, то получится х-1) Решаем как обычное линейное уравнение 3х-3=х-1
                 2х=2
                х=1
Подставим значение х в любое из уравнений, получится что у=х-1
                                                                                             у=1-1
                                                                                             у=0
Подставляем значения как координаты точки и пересечения и получаем, что (1;0) точка пересечения
4,5(29 оценок)
Ответ:
Lesia3081984
Lesia3081984
20.11.2021

На 28%.

На скольо % была снижена цена товара?

Объяснение:

1)100-10=90% цена товара после первого

понижения (в %).

2)

Пусть первоначальная цена товара бы

ла х руб.

Составим пропорцию:

х 100%

? 90%

?=90х/100=0,9х

3)100-20=80% цена товара после второ

го понижения (в %).

4)

Составим пропорцию:

0,9х 100%

? 80%

?=(0,9х×80)/100=0,72х - цена товара

после второго понижения ( в руб.)

5)

Составим пропорцию:

х 100%

0,72х ?

?=(0,72х×100)/х=72(%) цена тавара

после двух понижений по отноше

нию к первоначальной цене (в %).

6)100-72=28(%) снижение цены пос

ле двух понижений.

ответ: на 28%.

.

4,5(10 оценок)
Новые ответы от MOGZ: Алгебра
logo
Вход Регистрация
Что ты хочешь узнать?
Спроси Mozg
Открыть лучший ответ