М
Молодежь
К
Компьютеры-и-электроника
Д
Дом-и-сад
С
Стиль-и-уход-за-собой
П
Праздники-и-традиции
Т
Транспорт
П
Путешествия
С
Семейная-жизнь
Ф
Философия-и-религия
Б
Без категории
М
Мир-работы
Х
Хобби-и-рукоделие
И
Искусство-и-развлечения
В
Взаимоотношения
З
Здоровье
К
Кулинария-и-гостеприимство
Ф
Финансы-и-бизнес
П
Питомцы-и-животные
О
Образование
О
Образование-и-коммуникации
Anonim223332
Anonim223332
21.05.2023 19:56 •  Алгебра

Хелп іть знайти прохідну складної функції y=(3x+2)^7

👇
Ответ:
lol09890
lol09890
21.05.2023
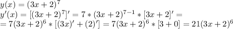
y(x)=(3x+2)^7\\
y'(x)=[(3x+2)^7]'=7*(3x+2)^{7-1}*[3x+2]'=\\
=7(3x+2)^6*[(3x)'+(2)']=7(3x+2)^6*[3+0]=21(3x+2)^6
---------------------------
y(x)=\sqrt{2x^2-5}=(2x^2-5)^{\frac{1}{2}}\\\\
y'(x)=[(2x^2-5)^{\frac{1}{2}}]'=\frac{1}{2}*(2x^2-5)^{\frac{1}{2}-1}*[2x^2-5]'=\\\\
=\frac{1}{2}*(2x^2-5)^{-\frac{1}{2}}*[4x+0]=\frac{2x}{\sqrt{2x^2-5}}
4,4(57 оценок)
Открыть все ответы
Ответ:
anonimno3
anonimno3
21.05.2023
1
25=5*5   70=2*5*7   100=2*2*5*5
НОД=5
ответ 5 наборов
2
Пусть акций было 100
А-46акций
В-34 акции
Продали х акций А,их стало 46-х,всего стало 100-х
100-х-100%
46-х-19%
19*(100-х)=100*(46-х)
1900-19х=4600-100х
-19х+100х=4600-1900
81х=2700
х=2700:81
х=100/3
Всего осталось 100-100/3=200/3
200/3-100%
34-у%
у=34*100:200/3=34*100*3/200=51% составляют акции В
3
1 бригада за 2 часа сделала 0,6 задания,значит за час 0,3
2 бригада за 5,25ч сделала 0,9 задания,значит за час 6/35
производительность одинаковая
3/10=21/70 и 6/35=12/70
В 1 бригаде 21ч,а во 2 бригаде 12ч
4,5(44 оценок)
Ответ:
jumalieva03
jumalieva03
21.05.2023

В 1964-ом году в свет вышел повесть "Седьмая симфония", написанная Тамарой Сергеевной Цинбергом.

В конце войны Тамара Сергеевна Цинберг прочитала Эрнесту наброски к фильму о блокадном Ленинграде. Первый слушатель был выбран неслучайно. Эрнест как никто другой понимал, как много подробностей, деталей недавних событий, описанных в киносценарии, отражало их собственную блокадную жизнь. Один из ведущих мотивов сюжета — сохранение человеческого достоинства несмотря на все лишения и испытания. В доме Цинбергов это чувство воспитывалось ежедневно. Роза Владимировна строго следила за тем, чтобы на стол стелилась скатерть и подавались приборы каждый раз, когда семья собиралась обедать студнем из варёного столярного клея. Цинберг написала о том, что ей было известно, выстрадано и преодолено.

В начале 1960-х годов Тамара Сергеевна отнесла рукопись Ю. П. Герману на отзыв. Сценарий ему понравился. Однако, понимая, что добиться постановки кинофильма будет трудно, Герман посоветовал написать на основе сценария повесть и опубликовать её в Детгизе. Тамара Сергеевна так и поступила.

В 1964 году книга была опубликована в издательстве Детгиз. Цинберг посвятила её памяти своего отца.

Книга имела успех. Почти сразу же был напечатан дополнительный тираж. Автор получала много положительных отзывов, писем, особенно от учителей, которые читали, изучали, комментировали текст на уроках литературы.

Повестью заинтересовались на киностудии «Ленфильм». В 1966 году по мотивам повести «Седьмая симфония» был снят фильм «Зимнее утро». Его афишу создала Тамара Сергеевна Цинберг.

4,5(2 оценок)
logo
Вход Регистрация
Что ты хочешь узнать?
Спроси Mozg
Открыть лучший ответ