Вход
Регистрация
Спроси Mozg AI
М
Молодежь
К
Компьютеры-и-электроника
Д
Дом-и-сад
С
Стиль-и-уход-за-собой
П
Праздники-и-традиции
Т
Транспорт
П
Путешествия
С
Семейная-жизнь
Ф
Философия-и-религия
Б
Без категории
М
Мир-работы
Х
Хобби-и-рукоделие
И
Искусство-и-развлечения
В
Взаимоотношения
З
Здоровье
К
Кулинария-и-гостеприимство
Ф
Финансы-и-бизнес
П
Питомцы-и-животные
О
Образование
О
Образование-и-коммуникации
.....больше.....
..меньше..
Kamila2o18
01.02.2023 01:06 •
Алгебра
Решите систему уравнений методом подстановки а)y=2-x x2+4y=8 б)x-y=4 x2+xy=6
👇
Увидеть ответ
Ответ:
so4tfx
01.02.2023
а)y=2-x
x2+4y=8
x²+4(2-x)-8=0
x²-4x=0
x(x-4)=0
x=0⇒y=2
x=4⇒y=-2
(0;2);(4;-2)
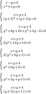
Б)x-y=4⇒y=x-4
X2+xy=6
x²+x(x-4)-6=0
x²+x²-4x-6=0
2x²-4x-6=0
x²-2x-3=0
x1+x2=2 U x1*x2=-3
x1=-1⇒y=-5
x2=3⇒y=-1
(-1;-5);(3;-1)
4,6
(14 оценок)
Ответ:
zejbelanka
01.02.2023
4,8
(100 оценок)
Открыть все ответы
Ответ:
plesovskih
01.02.2023
А) x2-7x=0 б) 3x2=0 в) x2-12=0 x(x-7)=0 x2=0 x2=12 x=0 ; x-7=0 x=0 x=\sqrt{12} ; x=-\sqrt{12} x=7 ответ: x=0 ответ: x= \sqrt{12}; \sqrt{12} ответ: x=0; x=7
4,6
(30 оценок)
Ответ:
Lizasuper2003
01.02.2023
Х^6-12x^4+48x²-16-48=0 x^6-12x^4+48x²-64=0 (x^6-64)-12x²(x²-4)=0 (x²)³-(4)³-12x²(x²-4)=0 (x²-4)(x^4+4x²+16)-12x²(x²-4)=0 (x²-4)(x^4+4x²+16-12x²)=0 (x²-4)(x^4-8x²+16)=0 (x²-4)(x²-4)²=0 (x²-4)³=0 ⇒ x²-4=0 (x-2)(x+2)=0 x-2=0 x=2 x+2=0 x=-2 ответ: х1=2 х2=-2
4,6
(18 оценок)
Это интересно:
Т
Транспорт
14.01.2023
Как избежать аварий на дороге...
К
Компьютеры-и-электроника
17.04.2020
Создание онлайн веб каста с помощью Windows Media Encoder...
Т
Транспорт
12.05.2020
Как подготовить гидроцикл к зимнему хранению...
К
Компьютеры-и-электроника
21.05.2022
Как смотреть бесплатные фильмы на iPad: лучшие способы и сервисы...
К
Компьютеры-и-электроника
18.05.2023
Как переустановить драйвера беспроводного адаптера: подробная инструкция...
О
Образование-и-коммуникации
09.04.2021
Как нарисовать автопортрет: советы для начинающих...
К
Компьютеры-и-электроника
14.07.2020
Превращаем реальность в виртуальность: как играть в Sims 4?...
03.03.2020
Как собрать обед для ребенка: советы от нутрициологов...
Т
Транспорт
04.06.2020
Не дайте окислившимся клеммам аккумулятора испортить ваш автомобиль...
Ф
Финансы-и-бизнес
06.04.2020
Как купить золото...
Новые ответы от MOGZ: Алгебра
FoxEdit
30.06.2020
1. по условию составьте выражение с переменными. коля купил m карандашей по 12 рублей и 14 тетрадей по n рублей, заплатив за тетради больше, чем за карандаши. на сколько больше...
revosasa73
30.06.2020
Докажите, что значение выражения равно нулю при любом значение y: 8(2y-5)-4(3y-10)-4y...
gratem04
30.06.2020
Сократить дробь: x^2+x-12/x^2+8x+16...
Kotnakompe
30.06.2020
Найдите значения выражения,при заданных значениях переменной a) 2x-3+(3x-2), при x=7,2 б)2(4b-a)-3(a-2b),при a=1/2; b=2/3...
erra1337
30.06.2020
Решите уравнение 5,4+(-x-12,1)=-2,01 надо...
malkinzene
30.06.2020
Найдите значение выражения 7 класс: 1) a2-3a+4 при a=1.5 ; 2)3b2+2b-1 при b=1/3...
Dan363
10.09.2022
Косинус 2х - синус х. , решить. не получается чего-то у меня(...
andreyvlasov22
18.03.2020
Найдите наибольшее значение функции y=x^2-2x-1 на отрезке [-1; 1]...
SirenaLi27
18.03.2020
(3k-1)(3k+1)=(2k+3)2 - 14 2- это типо в квадрате. решите !...
7gklass2017
18.03.2020
Чему равна разность между наибольшим и наименьшим значениями функции f(x)=x^3+2x-5 на отрезке [-1; 1]?...
MOGZ ответил
В треугольниках ABC и A1B1C1 AB=A1B1, угол A=углу A1, угол B=углу B1. На...
1. Setzt die passenden Relativpronomen wo, wie in die Lücken ein. -Hallo...
2 текста, сравнить их., определи цель, тему, жанр, особенности лексики двух...
 Инфоурок›Алгебра›Другие методич. материалы›Диагностическая контрольная...
Четыре друга – Миша, Лев, Олег, Витя. Изучают иностранные языки и занимаются...
два параллельные прямые пересекаются третьей прямой. если один из 8 образовавщихся...
На рисунке АВ=АС и угол 1 равен углу 2. Докажите, что угол 3 равен углу4,...
Определи значение переменной: 3/5 = c/40....
Князь Репнин строки, в которых заключена главная мысль .Как Иван Грозный...
Дифференциальные уравнения...
Полный доступ к MOGZ
Живи умнее Безлимитный доступ к MOGZ
Оформи подписку
О НАС
О нас
Блог
Условия пользования
Авторское право
Политика конфиденциальности
Предпочтения cookie-файлов
ПОМОЩЬ
Зарегистрируйся
Центр помощи
Центр безопасности
App
Вход
Регистрация
Что ты хочешь узнать?
Спроси Mozg
Открыть лучший ответ
x2+4y=8
x²+4(2-x)-8=0
x²-4x=0
x(x-4)=0
x=0⇒y=2
x=4⇒y=-2
(0;2);(4;-2)
Б)x-y=4⇒y=x-4
X2+xy=6
x²+x(x-4)-6=0
x²+x²-4x-6=0
2x²-4x-6=0
x²-2x-3=0
x1+x2=2 U x1*x2=-3
x1=-1⇒y=-5
x2=3⇒y=-1
(-1;-5);(3;-1)