М
Молодежь
К
Компьютеры-и-электроника
Д
Дом-и-сад
С
Стиль-и-уход-за-собой
П
Праздники-и-традиции
Т
Транспорт
П
Путешествия
С
Семейная-жизнь
Ф
Философия-и-религия
Б
Без категории
М
Мир-работы
Х
Хобби-и-рукоделие
И
Искусство-и-развлечения
В
Взаимоотношения
З
Здоровье
К
Кулинария-и-гостеприимство
Ф
Финансы-и-бизнес
П
Питомцы-и-животные
О
Образование
О
Образование-и-коммуникации
rafael700rg
rafael700rg
27.10.2021 01:39 •  Алгебра

При каких параментах p система уравнений не имеет решений? первое уравнение: второе уравнение: на листочке!

👇
Ответ:
nstratonova
nstratonova
27.10.2021
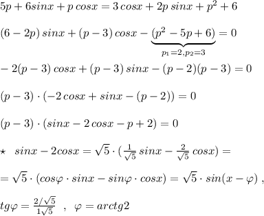
5p+6sinx+p\, cosx=3\, cosx+2p\, sinx+p^2+6\\\\(6-2p)\, sinx+(p-3)\, cosx-\underbrace {(p^2-5p+6)}_{p_1=2,p_2=3}=0\\\\-2(p-3)\, cosx+(p-3)\, sinx-(p-2)(p-3)=0\\\\(p-3)\cdot (-2\, cosx+sinx-(p-2))=0\\\\(p-3)\cdot (sinx-2\, cosx-p+2)=0\\\\\star \; \; sinx-2cosx=\sqrt5\cdot (\frac{1}{\sqrt5}\, sinx-\frac{2}{\sqrt5}\, cosx)=\\\\=\sqrt5\cdot (cos\varphi \cdot sinx-sin\varphi \cdot cosx)=\sqrt5\cdot sin(x-\varphi )\; ,\\\\tg\varphi =\frac{2/\sqrt5}{1\sqrt5}\; \; ,\; \; \varphi =arctg2

-1 \leq sin(x-\varphi ) \leq 1\\\\-\sqrt5 \leq \sqrt5\, sin(x-\varphi ) \leq \sqrt5\; \; \star \\\\a)\; sinx-2\, cosx-p+2=0\; \; \to \; \; \sqrt5\, sin(x-\varphi )-p+2=0\\\\\sqrt5\, sin(x-\varphi )=p-2\\\\sin(x-\varphi )=\frac{p-2}{\sqrt5}

Cистема не  имеет решений, если правая часть равенства либо  > 1 ,
либо  < (-1).

\left [ {{\frac{p-2}{\sqrt5}\ \textgreater \ 1} \atop {\frac{p-2}{\sqrt5}\ \textless \ -1}} \right. \; \left [ {{p\ \textgreater \ 2+\sqrt5} \atop {p\ \textless \ 2-\sqrt5}} \right.

b)\; \; p-3=0\; \; \to \; \; p=3\\\\p\in (-\infty ,2-\sqrt5)\cup (2+\sqrt5,+\infty )
4,8(50 оценок)
Ответ:
jolydolf12
jolydolf12
27.10.2021
 5*p+6*sinx+p*cosx = 3*cosx+2*p*sinx+p^2+6 
 (6-2p)*sinx+(p-3)*cosx=(p-2)(p-3)   
 (p-3)(2*sinx+cosx-p+2)=0 
  2*sinx+cosx=p-2 
  
 Максимальное значение 2*sinx+cosx <= √(2^2+1^2)*√(sin^2x+cos^2x) = √(5) 
 минимальное -√5
 
  Значит уравнение не имеет решения при 
  p-2>√5 
  p-2 < -√5 
 
 Откуда 
  p > 2+√5 
  p < 2-√5 
4,6(21 оценок)
Открыть все ответы
Ответ:
esketit1
esketit1
27.10.2021

Апайға Спорт человеку быть в хорошей физической форме, а кроме того он воспитывает характер и силу воли. Занятия спортом укреплению здоровья. Даже простая зарядка утром под любимую музыку заряжает энергией на весь день.

Я всегда любил активные развлечения. Сколько себя помню, всегда играл в разнообразные подвижные игры. И получал от этого невероятное удовольствие! Поэтому родители записали меня на настольный теннис. Это очень интересный вид спорта, в котором необходимо проявлять быструю реакцию, хорошую координацию движений, концентрацию. Когда я играю, это захватывает меня целиком! Мне нравится этот вид спорта, потому что в нем нет перегрузок, он не очень травматичен, заторазвивает гибкость, координацию, выносливость и силу мышц.

Объяснение:

Ми Анашым,жаннатым туған күніңізбен!мықты денсаулық ұзақ өмір тілеймін.Бар жақсылыққа лайықтысыз.Әрқашан ақылшымыз болып ортамызда жүре беріңіз❤❤❤

4,4(17 оценок)
Ответ:
dilnaramusaeva
dilnaramusaeva
27.10.2021

1)

8x^2 + 1.9x + 1 = 0;

D = 3.61 - 4 * 8 * 1 = 3.61 - 32 = -28.39 < 0

x = (пустое множество)

2)

3x^2 - 4x + 2.3 = 0;

D = 16 - 4 * 3 * 2.3 = 16 - 27.6 = -11.6 < 0

x = (пустое множество)

3)

x^2 - 10x + 3.25 = 0;

D = 100 - 4 * 1 * 3.25 = 100 - 13 = 87

x1 = (10 + (корень из 87)) : 2 * 1 = (10 + (корень из 87)) : 2

x2 = (10 - (корень из 87)) : 2 * 1 = (10 - (корень из 87)) : 2

4)

-4x^2 + 4.4x - 1 = 0;

D = 19.36 - 4 * (-4) * (-1) = 19.36 - 16 = 3.36

x1 = (-4.4 + (корень из 3.36)) : 2 * (-4) = (-4.4 + (корень из 3.36)) : (-8) = (-4.4 + 4(корень из 0.21)) : (-8) = (1.1 - (корень из 0.21)) : 2

x2 = (-4.4 - (корень из 3.36)) : 2 * (-4) = (-4.4 - (корень из 3.36)) : (-8) = (-4.4 - 4(корень из 0.21)) : (-8) = (1.1 + (корень из 0.21)) : 2

5)

5.3x^2 + 0x - 4 = 0;

D = 0 - 4 * 5.3 * (-4) = 0 + 85.28 = 85.28

x1 = (0 + (корень из 85.28)) : 2 * 5.3 = (корень из 85.28) : 10.6

x2 = (0 - (корень из 85.28)) : 2 * 5.3 = (корень из 85.28) : 10.6

Объяснение:

Шестое аналогично. Формула дискриминанта: D = b^2 - 4ac.

4,5(4 оценок)
Это интересно:
logo
Вход Регистрация
Что ты хочешь узнать?
Спроси Mozg
Открыть лучший ответ