М
Молодежь
К
Компьютеры-и-электроника
Д
Дом-и-сад
С
Стиль-и-уход-за-собой
П
Праздники-и-традиции
Т
Транспорт
П
Путешествия
С
Семейная-жизнь
Ф
Философия-и-религия
Б
Без категории
М
Мир-работы
Х
Хобби-и-рукоделие
И
Искусство-и-развлечения
В
Взаимоотношения
З
Здоровье
К
Кулинария-и-гостеприимство
Ф
Финансы-и-бизнес
П
Питомцы-и-животные
О
Образование
О
Образование-и-коммуникации
КнигаЗнаний16
КнигаЗнаний16
18.08.2021 13:43 •  Алгебра

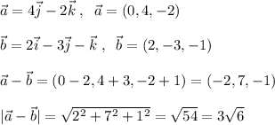
Найти длину вектора а-b. а= 4j-2k и b= 2i-3j-k.

👇
Ответ:
svetlana50036
svetlana50036
18.08.2021
\vec{a}=4\vec {j}-2\vec{k}\; ,\; \; \vec{a}=(0,4,-2)\\\\\vec{b}=2\vec{i}-3\vec{j}-\vec{k}\; ,\; \; \vec{b}=(2,-3,-1)\\\\\vec{a}-\vec{b}=(0-2,4+3,-2+1)=(-2,7,-1)\\\\|\vec{a}-\vec{b}|=\sqrt{2^2+7^2+1^2}=\sqrt{54}=3\sqrt6
4,8(43 оценок)
Открыть все ответы
Ответ:
Profesor2Max
Profesor2Max
18.08.2021

ответ: решение невозможно, возможно, в задаче есть ошибка, но я написала решение и вы всегда можете заменить данные правильными

Объяснение: Так как получившиеся прямоугольники равны, они резали изначальные прямоугольники одна вдоль, а другая поперёк. Надеюсь, вы уже изучали х и у.

пусть длина изначального прямоугольника 2х, а ширина 2у

тогда если резать вдоль: периметр = 2*2у+ 2*2х\2 = 4у+2х

Если резать поперёк: периметр = 2*2х+ 2*2у\2 = 4х+ 2у

Напоминаю: длина всегда больше ширины, поэтому:

4у+2х=18

2у+ 4х = 39

собираем эти два уравнения в систему, домножаем первое на -1, а второе на 2:

-4у-2х=-18

4у+8х=78

складываем:

6х=60

х=10

НО!

4у+20=18

у=-0,5, а это невозможно

4,5(3 оценок)
Ответ:
s1cro
s1cro
18.08.2021

Дано:

а₁ = 11 дм

b₁ = 14 дм

с₁ = 15 дм

P₂ = 110 дм - периметр подобного треугольника

Найти:

а₂,  b₂,  c₂ - стороны подобного треугольника

Периметр исходного треугольника

Р₁ = а₁ + b₁ + c₁ = 11 + 14 + 15 = 40 (дм)

Отношение периметров подобных треугольников равно коэффициенту подобия k

k = P₂ : P₁ = 110 : 40 = 2.75

Cтороны подобного треугольника

а₂ = k · a₁ = 2.75 · 11 = 30.25 (дм)

b₂ = k · b₁ = 2.75 · 14 = 38.5 (дм)

c₂ = k · c₁ = 2.75 · 15 = 41.25 (дм)

Сторона подобного треугольника равны 30,25дм;  38,5 дм;  41,25 дм

4,7(11 оценок)
Новые ответы от MOGZ: Алгебра
logo
Вход Регистрация
Что ты хочешь узнать?
Спроси Mozg
Открыть лучший ответ