М
Молодежь
К
Компьютеры-и-электроника
Д
Дом-и-сад
С
Стиль-и-уход-за-собой
П
Праздники-и-традиции
Т
Транспорт
П
Путешествия
С
Семейная-жизнь
Ф
Философия-и-религия
Б
Без категории
М
Мир-работы
Х
Хобби-и-рукоделие
И
Искусство-и-развлечения
В
Взаимоотношения
З
Здоровье
К
Кулинария-и-гостеприимство
Ф
Финансы-и-бизнес
П
Питомцы-и-животные
О
Образование
О
Образование-и-коммуникации
Fenef
Fenef
04.11.2020 05:18 •  Алгебра

Решите уравнение: (3х-5)²-(х+3)²=0

👇
Ответ:
vika2082
vika2082
04.11.2020

(3х-5)²-(х+3)²=0

(3x-5+x+3)(3x-5-x-3)=0

(4x-2)(2x-8)=0

4x-2=0

x=1/2

или

2x-8=0

x=4


ответ: 1/2; 4

4,6(85 оценок)
Ответ:
Karina121334
Karina121334
04.11.2020
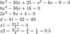
9 {x}^{2} - 30x + 25 - {x}^{2} - 6x - 9 = 0 \\ 8 {x}^{2} - 36x + 16 = 0 \\ 2 {x}^{2} - 9x + 4 = 0 \\ d = 81 - 32 = 49 \\ x1 = \frac{9 + 7}{4} = 4 \\ x2 = \frac{9 - 7}{4} = \frac{2}{4} = \frac{1}{2} = 0.5
4,7(97 оценок)
Открыть все ответы
Ответ:
sludkov
sludkov
04.11.2020
Решение:
Пусть x - скорость первого автомобиля.
Тогда - x-10 - скорость второго автомобиля.
Зная, что первый автомобиль на 1 час проехал 300 км быстрей  чем второй,  составим и решим уравнение:
(300/x-10)-(300/x)=1
(300x-300x+3000)/(x^2-10x)=1
3000/(x^2-10x)=1
x^2-10x=3000
x^2-10x-3000=0
D=b^2-4ac
D=12100>0-2 корня.
x=(-b+√D)/2a
x=(10+110)/2
x=120/2
x=60
Второй корень я рассматривать не стану, т.к. он отрицателен, что не подходит по смыслу задачи.
Скорость второго автомобиля равна 60 -10=50 км/ч
ответ:Скорость первого автомобиля равна 60 км/ч, а скорость второго автомобиля равна 50 км/ч.
4,7(20 оценок)
Ответ:
vlgonotrada
vlgonotrada
04.11.2020
Разберем по частям, начнем с простого:
Квадратный корень из 81 естественно равен 9: √81=9;
Далее разберемся с первым числом, имеем:
9^{\frac{3}{2}}
Знаменатель в степени числа всегда показывает какой у нас корень, в данном случае - корень квадратный, а квадратный корень, как известно записывается так:
\sqrt{x}=x^{\frac{1}{2}}
Следовательно, у нас идет квадратный корень из девяти в кубе:
\sqrt{9^3}=\sqrt{729}
Квадратный корень из 729 извлекается, это 27.
Теперь второе число:
В знаменателе степени стоит 3, то есть, корень кубический. Выглядит так:
27^{\frac{2}{3}}=^3\sqrt{27^2}=^3\sqrt{729};
То бишь, если квадратный корень из 729 равен 27, то теперь из 27 находим квадратный корень, чтобы найти кубический корень из 729. Получаем 9.
В итоге, складывая:
27+9+9=45.
4,5(57 оценок)
Новые ответы от MOGZ: Алгебра
logo
Вход Регистрация
Что ты хочешь узнать?
Спроси Mozg
Открыть лучший ответ