М
Молодежь
К
Компьютеры-и-электроника
Д
Дом-и-сад
С
Стиль-и-уход-за-собой
П
Праздники-и-традиции
Т
Транспорт
П
Путешествия
С
Семейная-жизнь
Ф
Философия-и-религия
Б
Без категории
М
Мир-работы
Х
Хобби-и-рукоделие
И
Искусство-и-развлечения
В
Взаимоотношения
З
Здоровье
К
Кулинария-и-гостеприимство
Ф
Финансы-и-бизнес
П
Питомцы-и-животные
О
Образование
О
Образование-и-коммуникации
silva78
silva78
29.08.2021 13:51 •  Алгебра

Решить уравнения x2+x-6=0 5x2+3x-8=0 5x2+14x-3=0

👇
Ответ:
rozaliazhuravl
rozaliazhuravl
29.08.2021
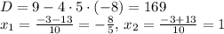
1) {x}^{2} + x - 6 = 0 \\ x1x2 = - 6 \\ x1 + x2 = - 1 \\ x1 = - 3 \\ x2 = 2 \\ \\ 2)5 {x}^{2} + 3x - 8 = 0 \\ d = 9 + 160 = 169 \\ x1 = \frac{ - 3 + 13}{10} = 1 \\ x2 = - \frac{ - 3 - 13}{10} = - 1.6 \\ \\ 3)5 {x}^{2} + 14x - 3 = 0 \\ d = 196 + 60 = 256 \\ x1 = \frac{ - 14 + 16}{10} = 0.2 \\ x2 = \frac{ - 14 - 16}{10} = - 3
4,6(40 оценок)
Ответ:
Evildevil2
Evildevil2
29.08.2021

#1

По Виету:

x_1 + x_2 = -1, \, x_1 x_2 = -6 \Rightarrow x_1 = -3, x_2 = 2

Через дискриминант:

D = 1 - 4 \cdot (-6) = 25 \\
x_1 = \frac{-1 - 5}{2} = -3, \, x_2 = \frac{-1 + 5}{2} = 2

#2

По Виету:

5x^2 + 3x - 8 = 0 \Leftrightarrow x^2 + \frac{3}{5}x - \frac{8}{5}

x_1 + x_2 = -\frac{3}{5}, \, x_1 x_2 = -\frac{8}{5} \Rightarrow x_1 = 1, \, x_2 = -\frac{8}{5}

Через дискриминант:

D = 9 - 4 \cdot 5 \cdot (-8) = 169 \\
x_1 = \frac{-3 - 13}{10} = -\frac{8}{5}, \, x_2 = \frac{-3 + 13}{10} = 1

#3

Через дискриминант:

D = 14^2 - 4 \cdot 5 \cdot (-3) = 256 \\
x_1 = \frac{-14 - 16}{10} = -3, \, x_2 = \frac{-14 + 16}{10} = \frac{1}{5}

4,7(22 оценок)
Открыть все ответы
Ответ:
olgauschap1
olgauschap1
29.08.2021
Можно попробовать разбить на систему неравенств:
1/3≤(x^2-x+1)/(x^2+x+1) и  
(x^2-x+1)/(x^2+x+1)≥3
после приведения к общему знаменателю, переносу в левую часть и упрощения получаем:
(x-1)^2/(3(x^2+x+1))≥0 и
-(x+1)^2/(x^2+x+1)≤0
далее рассуждаем: первое неравенство- дробь больше или равна нулю в двух случаях, когда числитель больше или равен нулю, знаменатель больше нуля и когда числитель меньше или равен нулю и знаменатель меньше нуля. В нашем случае, независимо от значений x, числитель больше или равен нулю, знаменатель всегда строго больше нуля. Следовательно данная дробь всегда положительна.
Аналогичные рассуждения со второй дробью. Она всегда отрицательна или равна нулю- числитель при любых x отрицательный, а при x=-1 равен нулю. А знаменатель всегда положительный. 
Следовательно выполняется указанное двойное неравенство. ч.т.д.
4,4(58 оценок)
Ответ:
RomanReigns2000
RomanReigns2000
29.08.2021
Можно попробовать разбить на систему неравенств:
1/3≤(x^2-x+1)/(x^2+x+1) и  
(x^2-x+1)/(x^2+x+1)≥3
после приведения к общему знаменателю, переносу в левую часть и упрощения получаем:
(x-1)^2/(3(x^2+x+1))≥0 и
-(x+1)^2/(x^2+x+1)≤0
далее рассуждаем: первое неравенство- дробь больше или равна нулю в двух случаях, когда числитель больше или равен нулю, знаменатель больше нуля и когда числитель меньше или равен нулю и знаменатель меньше нуля. В нашем случае, независимо от значений x, числитель больше или равен нулю, знаменатель всегда строго больше нуля. Следовательно данная дробь всегда положительна.
Аналогичные рассуждения со второй дробью. Она всегда отрицательна или равна нулю- числитель при любых x отрицательный, а при x=-1 равен нулю. А знаменатель всегда положительный. 
Следовательно выполняется указанное двойное неравенство. ч.т.д.
4,7(69 оценок)
Это интересно:
Новые ответы от MOGZ: Алгебра
logo
Вход Регистрация
Что ты хочешь узнать?
Спроси Mozg
Открыть лучший ответ