М
Молодежь
К
Компьютеры-и-электроника
Д
Дом-и-сад
С
Стиль-и-уход-за-собой
П
Праздники-и-традиции
Т
Транспорт
П
Путешествия
С
Семейная-жизнь
Ф
Философия-и-религия
Б
Без категории
М
Мир-работы
Х
Хобби-и-рукоделие
И
Искусство-и-развлечения
В
Взаимоотношения
З
Здоровье
К
Кулинария-и-гостеприимство
Ф
Финансы-и-бизнес
П
Питомцы-и-животные
О
Образование
О
Образование-и-коммуникации
Dvorchnik8196
Dvorchnik8196
25.03.2022 17:52 •  Алгебра

4х^2-5х-6=0 решите подробно, заранее

👇
Ответ:
TRЮM
TRЮM
25.03.2022
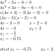
4 {x}^{2} - 5x - 6 = 0 \\ 4 {x}^{2} + 3x - 8x - 6 = 0 \\ x(4x + 3) - 2(4x - 3) = 0 \\ (4x - 3)(x - 2) = 0 \\ 4x - 3 = 0 \: \: \: \: \: \: \: \: \: \: x - 2 = 0 \\ 4x = - 3 \: \: \: \: \: \: \: \: \: \: \: \: \: \: x _{2}= 2 \\ x _{1}= - \frac{3 }{4} \\ x_{1} = - 0.75 \\ \\ otvet \: x_{1} = - 0.75 \: \: \: \: \: \: \: \: \: \: x_{2} = 2
4,4(29 оценок)
Открыть все ответы
Ответ:
Ізабель
Ізабель
25.03.2022
Исходное число должно быть четырехзначным.
Пусть исходное число будет ABCD=1000A+100B+10C+D.
Из четырехзначного числа ABCD вычли сумму его цифр и получили 2016:
1000A+100B+10C+D-(А+В+С+D)=2016
Раскроим скобки и решим:
1000A+100B+10C+D-А-В-С-D=2016
999А+99В+9С=2016
Сократим на 9:
111А+11В+С=224
Очевидно, что 1<А>3, т.е. А=2 (2000).
111*2+11В+С=224
 222+11В+С=224
11В+С=224-222
11В+С=2
С=2-11В, где С и В – натуральные положительные числа от 0 до 9. При значениях В от 1 до 9, С – отрицательное число.
Значит В=0, тогда С=2-11*0=2
Получаем число 202D, где D - натуральное положительное число от 0 до 9, т.е. возможные исходные значения от 2020 до 2029.
9 – максимальное значение D, значит наибольшее возможное исходное значение 2029.
Проверим: 2029 – (2+2+0+9)=2029-13=2016
ответ: наибольшее возможное исходное значение число 2029
4,6(39 оценок)
Ответ:
MihailBobr
MihailBobr
25.03.2022
Решим не стандартным

1 ученик - А
2 ученик - Б

Получаем:
А            Б
4             5
5             4
5             5
4             4

В итоге,существует расставить 2 ученикам 2 оценки (4 и 5).

А если прибавить к ним еще одного ученика - С. То:

А          Б          С
4          4           4
5          5           5
4          4           5
4          5           5
5          5           4
5          4           4
4          5           4
5          4           5

В итоге получаем

А что если, оставим тех же 2 учеников, но добавим 1 оценку - 3?

А вот что получим:

А                      Б
3                      3
4                      4
5                      5
3                      4
4                      3
4                      5
5                      4
3                      5
5                      3

В итоге, мы получили

Нет смысла, добавлять 3 ученика. Уже  и так можно увидеть закономерность.

В 1 раз, мы имели 2 ученика и 2 оценки, отметим это как:
(2,2)
В 2 раз, мы имели 3 ученика и 2 оценки, отметим это как:
(2,3)
В 3 раз, мы имели 2 ученика и 3 оценки, отметим это как:
(3,2)

А теперь, выведем формулу:
(a,b)=a^b - где a-число оценок, b-число учеников.

В итоге и получаем:
1 случай:
(2,2)=2^2=4
2 случай:
(2,3)=2^3=8
3 случай:
(3,2)=3^2=9

Теперь, вычислим наш случай в задаче. Есть 24 ученика = b, и 4 оценки=a (2,3,4,5).
Отсюда:
(a,b)=(4,24)=4^{24}=281474976710656

Второй

Для первого ученика существует 4 варианта:
2,3,4,5 
Для второго ученика существует 4 варианта на каждый вариант первого ученика.
То есть:
\dispaystyle 4\cdot 4=16 - варианта событий.

Для третьего ученика существует 4 варианта на каждый вариант второго ученика.
То есть:
16\cdot 4=64 - варианта событий.

И так далее. В итоге получаем, что для 24 учеников существует ровно:

4^{24}=281474976710656 - вариантов событий.
4,4(14 оценок)
Это интересно:
Новые ответы от MOGZ: Алгебра
Полный доступ к MOGZ
Живи умнее Безлимитный доступ к MOGZ Оформи подписку
logo
Вход Регистрация
Что ты хочешь узнать?
Спроси Mozg
Открыть лучший ответ