М
Молодежь
К
Компьютеры-и-электроника
Д
Дом-и-сад
С
Стиль-и-уход-за-собой
П
Праздники-и-традиции
Т
Транспорт
П
Путешествия
С
Семейная-жизнь
Ф
Философия-и-религия
Б
Без категории
М
Мир-работы
Х
Хобби-и-рукоделие
И
Искусство-и-развлечения
В
Взаимоотношения
З
Здоровье
К
Кулинария-и-гостеприимство
Ф
Финансы-и-бизнес
П
Питомцы-и-животные
О
Образование
О
Образование-и-коммуникации
Oxico127
Oxico127
08.06.2021 16:01 •  Алгебра

!выражение: 1)3*(2х+1)+5*(1+3х) 2)4*(2+х)-3(1+х) 3)10*(n+m)-4(2m+7n) 4)11*(5c+d)+3(d+c)

👇
Ответ:
арина256545
арина256545
08.06.2021
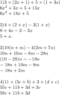
1)3 \times (2x + 1) + 5 \times (1 + 3x) \\ 6x {}^{2} + 3x + 5 + 15x \\ 6x {}^{2} + 18x + 5 \\ \\ 2)4 \times (2 + x) - 3(1 + x) \\ 8 + 4x - 3 - 3x \\ 5 + x. \\ \\ 3)10(n + m) - 4(2m + 7n) \\ 10n + 10m - 8m - 28n \\ (10 - 28)n = - 18n \\ - 18n + 10m - 8m \\ - 18n + 2m \\ \\ 4)11 \times (5c + b) + 3 \times (d + c) \\ 55c + 11b + 3d + 3c \\ 58c + 11b + 3d
4,4(98 оценок)
Открыть все ответы
Ответ:
Грамотёка
Грамотёка
08.06.2021

не уверен шо правельно но

обоих случаях у нас квадратная функция, значит, это графики парабол. Для их построения необходимо минимум 3 точки, одна из которых - это вершина параболы.

Вершина параболы имеет какие-то координаты (х;y).

Вершину можно найти по формуле х = - b/2a

Для случая а) а =1, b = -2, c = -8. Получаем координату х = 1. Подставляем щначение х в искомое выражение и получаем координаты вершины параболы (1; -9)

Для случая б) а = -1, b = 5, c = 0. Получаем координату х = 2.5. Подставляем щначение х в искомое выражение и получаем координаты вершины параболы (2.5; 5)

Теперь берём произвольное значение x и подставляем в функцию, таким образом получаем искомые графики.

На остальные вопросы легко ответить, смотря на график.

4,7(40 оценок)
Ответ:
123478101934
123478101934
08.06.2021

1) Относительная частота попаданий 32/40 = 4/5 = 0,8

2) Вероятность бракованной детали 75/500 = 3/20 = 0,15

3) Он соберет 200*0,85 = 170 кочанов капусты.

4) Опоздали 40 из 300, не опоздали 300-40 = 260 из 300

Вероятность, что ученик не опоздал как минимум 260/300 = 13/15.

Если были ученики, которые опаздывали не один раз, то вероятность, что случайный ученик не опоздал, ещё больше.

Например, если все 40 раз опоздал один ученик, то не опоздали остальные 299.

5) Не более 2 очков - это 1 или 2 очка. Это 33 + 57 = 90 раз.

Частота этого события 90/300 = 3/10 = 0,3.

6) Если даже взять два самых больших числа меньше 10, то есть 9 и 9, все равно сумма будет 18 < 20. Вероятность равна 0.

4,7(26 оценок)
Новые ответы от MOGZ: Алгебра
logo
Вход Регистрация
Что ты хочешь узнать?
Спроси Mozg
Открыть лучший ответ