М
Молодежь
К
Компьютеры-и-электроника
Д
Дом-и-сад
С
Стиль-и-уход-за-собой
П
Праздники-и-традиции
Т
Транспорт
П
Путешествия
С
Семейная-жизнь
Ф
Философия-и-религия
Б
Без категории
М
Мир-работы
Х
Хобби-и-рукоделие
И
Искусство-и-развлечения
В
Взаимоотношения
З
Здоровье
К
Кулинария-и-гостеприимство
Ф
Финансы-и-бизнес
П
Питомцы-и-животные
О
Образование
О
Образование-и-коммуникации
илона590
илона590
01.10.2022 02:41 •  Алгебра

Найдите числовое значение выражения x^2 0+1,если x0-корень уравнение 5x-3/8=x/2+3+11-3x/4

👇
Ответ:
хХхмхХх
хХхмхХх
01.10.2022
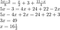
\frac{5x - 3}{8} = \frac{x}{2} + 3 + \frac{11 - x}{4} \\ 5x - 3 = 4x + 24 + 22 - 2x \\ 5x - 4x + 2x = 24 + 22 + 3 \\ 3x = 49 \\ x = 16 \frac{1}{3}
Я не уверена, что верно поняла условие
но если так, То
{x}^{2} + 1 ={( 16 \frac{1}{3})}^{2} + 1 = ( { \frac{48}{3} )}^{2} + 1 = \frac{2464}{9} + \frac{9}{9} = \frac{2473}{9} = 274 \frac{7}{9}
4,6(93 оценок)
Открыть все ответы
Ответ:
dasha1970
dasha1970
01.10.2022

3-(4x*2-177*2)=3-8x+354                                                                                                          3-8x+354=0                                                                                                           -8x=-354-3                                                                                                                   -8x=-357                                                                                                                             x=44.625

4,6(98 оценок)
Ответ:
бегуния
бегуния
01.10.2022

Гусеница проползает 5 м за 720 мин(12 часов), значит 1 метр она проползает за 144 мин.В понедельник в 6 утра она будет на высоте 3 м, в 18.00 - на высоте 8 м, к 6.00 вторника она сползет до 6 м, и ей останется проползти 3 м до отметки 9 м.

3 м умножаем на 144 мин, получаем 432 мин или 7 часов 12 минут. Прибавляем к 6 часам утра и получаем, что на отметке 9 метров гусеница будет в 13 часов 12 минут.

 

Во вторник в 18.00 она будет на высоте 11 метров, а до 9 метров сползет к 6.00 среды. Зачем же все усложнять?

4,5(34 оценок)
Это интересно:
Новые ответы от MOGZ: Алгебра
logo
Вход Регистрация
Что ты хочешь узнать?
Спроси Mozg
Открыть лучший ответ