М
Молодежь
К
Компьютеры-и-электроника
Д
Дом-и-сад
С
Стиль-и-уход-за-собой
П
Праздники-и-традиции
Т
Транспорт
П
Путешествия
С
Семейная-жизнь
Ф
Философия-и-религия
Б
Без категории
М
Мир-работы
Х
Хобби-и-рукоделие
И
Искусство-и-развлечения
В
Взаимоотношения
З
Здоровье
К
Кулинария-и-гостеприимство
Ф
Финансы-и-бизнес
П
Питомцы-и-животные
О
Образование
О
Образование-и-коммуникации
1111POLINA1111
1111POLINA1111
08.05.2021 17:33 •  Алгебра

С. 50 . дали на каникулы. 8 класс. тема: квадратные корни и действительные числа. 1) решите уровнения: 1. корень х = 2/5; 2. корень х = -3 3. х² = 36; 4. х² = -4 2) выражение корень125 + 4корень20 - 7корень5. 3) сократите дробь: 1. х-16/4+корень х 2. 5корень7 + 7/ 2корень7.

👇
Ответ:

1)\; \; a)\; \; \sqrt{x}=\frac{2}{5}\; \; \to \; \; x=\frac{4}{25}\; .\\\\b)\; \; \sqrt{x}=-3\; \; \to \; \; x\in \varnothing \; ,\; t.k.\; \; \sqrt{x}\geq 0\; .\\\\c)\; \; x^2=36\; \; \to \; \; x^2-36=0\; ,\; (x-6)(x+6)=0\; ,\; \; x_1=-6\; ,\; x_2=6\; .\\\\d)\; \; x^2=-4\; \; \to \; \; x\in \varnoyhing \; ,\; t.k.\; \; x^2\geq 0\; .\\\\2)\; \; \sqrt{125}+4\sqrt{20}-7\sqrt5=\sqrt{5^2\cdot 5}+4\cdot \sqrt{4\cdot 5}-7\sqrt5=\\\\=5\sqrt5+4\cdot 2\sqrt5-7\sqrt5=\sqrt{5}\cdot (5+8-7)=6\sqrt5\; .

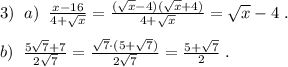
3)\; \; a)\; \; \frac{x-16}{4+\sqrt{x}}=\frac{(\sqrt{x}-4)(\sqrt{x}+4)}{4+\sqrt{x}}=\sqrt{x}-4\; .\\\\b)\; \; \frac{5\sqrt7+7}{2\sqrt7}=\frac{\sqrt7\cdot (5+\sqrt7)}{2\sqrt7}=\frac{5+\sqrt7}{2}\; .


С. 50 . дали на каникулы. 8 класс. тема: квадратные корни и действительные числа. 1) решите уровнени
4,5(51 оценок)
Ответ:
pankuznetsov
pankuznetsov
08.05.2021

1.

1) √x = 2/5

x = (2/5)^2 = 4/25

2) √x = -3

решений не имеет

3) x²=36

x = ±√36  = ±6

4) x² = -4

решений не имеет


2.

125+4√20-7√5 = √25*5+4√5*4-7√5 = 5√5+8√5-7√5 = 6√5

3.

см. вложение

4,6(70 оценок)
Открыть все ответы
Ответ:
антон776
антон776
08.05.2021
Высота, проведённая к основанию равнобедренного треугольника является одновременно медианой этого треугольника и разбивает равнобедренный треугольник на два равных прямоугольных треугольника, в каждом из которых боковая сторона равнобедренного треугольника является гипотенузой, а высота, проведённая к основанию равнобедренного треугольника является катетом.
16,4:8,2 = 2 (раза) - во столько гипотенуза больше катета, следовательно, противолежащий катету угол равен 30°
Т.к. исходный треугольник является равнобедренным, то его углы при основании равны. Получаем, что каждый из углов при основании нашего равнобедренного треугольника равен 30°.
Т.к. сумма внутренних углов треугольника равна 180°, то угол при вершине равен 180°-2*30°=180°-60°=120°
ответ: 30°, 30°, 120°
4,5(84 оценок)
Ответ:
caca2386p00xcz
caca2386p00xcz
08.05.2021
Высота, проведённая к основанию равнобедренного треугольника является одновременно медианой этого треугольника и разбивает равнобедренный треугольник на два равных прямоугольных треугольника, в каждом из которых боковая сторона равнобедренного треугольника является гипотенузой, а высота, проведённая к основанию равнобедренного треугольника является катетом.
16,4:8,2 = 2 (раза) - во столько гипотенуза больше катета, следовательно, противолежащий катету угол равен 30°
Т.к. исходный треугольник является равнобедренным, то его углы при основании равны. Получаем, что каждый из углов при основании нашего равнобедренного треугольника равен 30°.
Т.к. сумма внутренних углов треугольника равна 180°, то угол при вершине равен 180°-2*30°=180°-60°=120°
ответ: 30°, 30°, 120°
4,5(83 оценок)
Это интересно:
Новые ответы от MOGZ: Алгебра
logo
Вход Регистрация
Что ты хочешь узнать?
Спроси Mozg
Открыть лучший ответ