Вход
Регистрация
Спроси Mozg AI
М
Молодежь
К
Компьютеры-и-электроника
Д
Дом-и-сад
С
Стиль-и-уход-за-собой
П
Праздники-и-традиции
Т
Транспорт
П
Путешествия
С
Семейная-жизнь
Ф
Философия-и-религия
Б
Без категории
М
Мир-работы
Х
Хобби-и-рукоделие
И
Искусство-и-развлечения
В
Взаимоотношения
З
Здоровье
К
Кулинария-и-гостеприимство
Ф
Финансы-и-бизнес
П
Питомцы-и-животные
О
Образование
О
Образование-и-коммуникации
.....больше.....
..меньше..
vladik28092006
11.01.2021 02:44 •
Алгебра
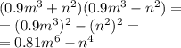
Разложите на множители 1) 0,36x^2 − 289 2) 0,01x^8 − 0,04y^4 представьте в виде многочлена выражения 1) (9a + 9b ) ( 9a − 9b ) 2) ( 0,9m^3 + n^2 ) ( 0,9m^3 − n^2 ) 3) ( 4a^2 + 10b ) ( 4a^2 − 10b )
👇
Увидеть ответ
Ответ:
buli4ka
11.01.2021
1.1)
1.2)
2.1)
2.2)
2.3)
4,4
(18 оценок)
Открыть все ответы
Ответ:
xomahgf
11.01.2021
В) у=3,4х -27,2
с осью ОХ: у=0 0=3,4х-27,2
27,2=3,4х
х=27,2 : 3,4
х=8
(8; 0) - с осью ОХ.
с осью ОУ: х=0 у=3,4*0-27,2
у= -27,2
(0; -27,2) - с осью ОУ.
г) у=18,1х+36,2
с осью ОХ: у=0 0=18,1х+36,2
-36,2=18,1х
х= -36,2 : 18,1
х= -2
(-2; 0) - с осью ОХ
с осью ОУ: х=0 у=18,1*0+36,2
у=36,2
(0; 36,2) - с осью ОУ.
4,6
(42 оценок)
Ответ:
платон24
11.01.2021
1) y=2x+3
x=0 y=2*0+3=3
ответ: 3
2) у=3х-5
х=1 у=3*1-5= -2
ответ: -2
3) у=16х+15
с осью ОХ: у=0 0=16х+5
-5=16х
х= -5/16
(-5/16; 0) - точка пересечения графика с осью ОХ.
с осью ОУ: х=0 у=16*0+5
у=5
(0; 5) - точка пересечения графика с осью ОУ.
4) у= -2х+2
с осью ОХ: у=0 0= -2х+2
-2= -2х
х=1
(1; 0) - точка пересечения графика с осью ОХ.
с осью ОУ: х=0 у= -2*0+2
у=2
(0; 2) - точка пересечения графика с осью ОУ.
4,4
(44 оценок)
Это интересно:
П
Питомцы-и-животные
16.12.2021
Как завоевать доверие собаки: советы для новичков...
Х
Хобби-и-рукоделие
09.09.2020
Как использовать объективы с байонетом M42 на цифровых фотоаппаратах Canon EOS...
Т
Транспорт
18.02.2022
Как диагностировать автомобильную помпу...
Д
Дом-и-сад
08.06.2022
Как почистить LEGO: простые способы, которые помогут сохранить блестящую внешность игрушек...
С
Стиль-и-уход-за-собой
28.02.2021
Как завивать волосы в кудри: простые шаги и полезные советы...
С
Стиль-и-уход-за-собой
26.01.2020
Как отчистить сандалии Rainbow...
С
Стиль-и-уход-за-собой
18.02.2021
Как избавиться от темных кругов под глазами: советы от экспертов...
16.02.2023
Как расширить границы разума: несколько простых способов...
31.05.2021
Как перестать бояться быть счастливым: 7 советов для изменения мышления...
К
Компьютеры-и-электроника
14.05.2023
Как создать свою видеоигру с нуля: от идеи до релиза...
Новые ответы от MOGZ: Алгебра
NastyaANIME
24.02.2023
Скорость авто увеличелась с 50 км ч до 75 км ч на сколько % увеличелась скорость авто...
shadow909
24.02.2023
решите систему уравнений 1) 3х+7у=13 8х-3у=13...
Loseva72
06.12.2021
Решите графическим систему у=х-1 и y= 2x^2...
БадАнгелина
06.12.2021
Выражения и найдите его значение 14а-12б-а-б ,если а =2/7 b=-5/7...
Васютка3333
12.07.2022
с математикой Cos2x=-0,5 корень из 3...
cobaincurt
23.06.2020
Найти производную функции Y...
PollyPanda07
12.06.2022
Докажите что верно равенство...
samininav1
06.03.2023
А) 156 квадратных сантиметров Б) 65 квадратных сантиметров В) 60 квадратных сантиметров...
Lesia3081984
02.05.2020
Разложи на множители многочлен 2 - 44° + 2427. 2 - 44 + 242x = д- Т+ 121) = — Сх Кали Назад Проверить...
eldaryuldashev
30.10.2021
1. Постройте координатную плоскость, укажите IV и координатные углы....
MOGZ ответил
Средне арефметическое 3+5+8+7+6+9+9+7+6+6+1+2+3=?...
Размножители на множетели: 16х^4-25...
2)собрали 1540 т. яблок и груш.груши составляют 25% этого количества. сколько собрали...
Выпишите и произнесите примеры на оглушение согласных звуков в речи...
№1 какие из рефлексов не наследуются: а) выполнение собакой команды «лежать»б)...
На корабль погрузили 860 ящиков с бананами и ананасами. в каждом ящике было 20кг....
Висловлювання на тему незичайність поезій василя голобородька дуже...
Правописание нн и н в причастиях и отглагольных прилагательных....
Запиши слова группами.жи-ши,ча-ща чу-щу...
Какая наука изучает классификацию растений?...
Полный доступ к MOGZ
Живи умнее Безлимитный доступ к MOGZ
Оформи подписку
О НАС
О нас
Блог
Условия пользования
Авторское право
Политика конфиденциальности
Предпочтения cookie-файлов
ПОМОЩЬ
Зарегистрируйся
Центр помощи
Центр безопасности
App
Вход
Регистрация
Что ты хочешь узнать?
Спроси Mozg
Открыть лучший ответ
×
1.2)
2.1)
2.2)
2.3)