М
Молодежь
К
Компьютеры-и-электроника
Д
Дом-и-сад
С
Стиль-и-уход-за-собой
П
Праздники-и-традиции
Т
Транспорт
П
Путешествия
С
Семейная-жизнь
Ф
Философия-и-религия
Б
Без категории
М
Мир-работы
Х
Хобби-и-рукоделие
И
Искусство-и-развлечения
В
Взаимоотношения
З
Здоровье
К
Кулинария-и-гостеприимство
Ф
Финансы-и-бизнес
П
Питомцы-и-животные
О
Образование
О
Образование-и-коммуникации

Заполните схему Виды социальных норм

👇
Ответ:
dasausakova526
dasausakova526
18.07.2020
ОДЗ
3x-9>0
x>3

Если правильно поняла твою запись
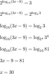
2^{\log_{16}(3x-9)}=3\\\\2^{\log_{16}(3x-9)}=2^{\log_23}
\\\\
\log_{16}(3x-9)}=\log_23\\\\\log_{16}(3x-9)}=\log_{2^4}3^4\\\\\log_{16}(3x-9)}=\log_{16}81\\\\3x-9=81\\\\x=30
4,5(63 оценок)
Открыть все ответы
Ответ:
svalevayulia10
svalevayulia10
18.07.2020

ответ: Ви вже знаєте, що швейна машина — це технічний пристрій для обробки та з’єднання деталей швейних виробів. Останнім часом змінився не тільки зовнішній вигляд швейних машин, а й удосконалились деякі їхні механізми. Незважаючи на це, принцип їх роботи залишився незмінним.

Машинна строчка утворюється шляхом переплетення двох ниток — верхньої та нижньої. Для того щоб машина працювала та виконувала строчку якісно, слід правильно заправляти нитки.

Послідовність заправлення ниток у машин різних марок однакова. Конструктивно відрізняються лише деякі деталі, через які проходить нитка. Тому заправлення швейної машини слід виконувати відповідно до інструкції.

Пам’ятайте! Під час заправлення ниток у швейну машину ниткопритягач і голка мають бути в крайньому верхньому положенні.

Объяснение:

4,6(16 оценок)
Ответ:
FlaxyPlay
FlaxyPlay
18.07.2020

Відповідь:

Англійська

Пояснення:

Маленький хлопчик Чарлі Бакет живе в дуже бідній сім’ї. Семеро людей (хлопчик, його батьки, два дідусі та дві бабусі) туляться в маленькому будиночку на околиці міста, з усієї родини тільки батько Чарлі має роботу: він закручує пробки на тюбиках із зубною пастою. Сім’я не може дозволити собі найнеобхіднішого: в будинку тільки одне ліжко, на якому лежать найстарші члени сімї, вони живуть впроголодь, харчуються картоплею і капустою. Чарлі дуже любить шоколад, але отримує його тільки раз на рік, одну плитку на свій день народження, в якості подарунка.

4,4(28 оценок)
Это интересно:
Новые ответы от MOGZ: Другие предметы
logo
Вход Регистрация
Что ты хочешь узнать?
Спроси Mozg
Открыть лучший ответ