М
Молодежь
К
Компьютеры-и-электроника
Д
Дом-и-сад
С
Стиль-и-уход-за-собой
П
Праздники-и-традиции
Т
Транспорт
П
Путешествия
С
Семейная-жизнь
Ф
Философия-и-религия
Б
Без категории
М
Мир-работы
Х
Хобби-и-рукоделие
И
Искусство-и-развлечения
В
Взаимоотношения
З
Здоровье
К
Кулинария-и-гостеприимство
Ф
Финансы-и-бизнес
П
Питомцы-и-животные
О
Образование
О
Образование-и-коммуникации
egoyan222
egoyan222
18.07.2020 01:53 •  Другие предметы

Пользуясь таблицами приложений, определите, какое место в мире среди указанных стран занимает Россия по: а) добыче природного газа б) добыче угля

👇
Ответ:
dima878787
dima878787
18.07.2020
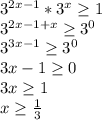
3^{2x-1}*3^{x} \geq 1 \\ 
3^{2x-1+x} \geq 3^{0} \\ 
3^{3x-1} \geq 3^{0} \\ 
3x-1 \geq 0 \\ 
3x \geq 1 \\ 
x \geq \frac{1}{3} \\
4,5(83 оценок)
Открыть все ответы
Ответ:
Алинаfox11
Алинаfox11
18.07.2020

Хан дәуірінен (б.з.д.206-6.3.220) бері Қытай қор­ғанының сыртына шыға бас­та­ған Хан патшалығы шамамен он мың ли (5000 км) Батысқа жылжи отырып, 751 жылы Атлах-Талас түбіне жет­кен қытай экспансиясының қан­ды жолы біржола, мәңгілікке ке­сіп тасталды.

2. Атлах-Талас шайқасының ұлы жеңісіне араб әскерін қарлұқ, түркештер қолдап, жан­қиярлық ерлігі арқылы қол жетті. Қан­мен бекіген түрік-араб дос­тығының ғұмыры ұзақ бол­ды, берекелі болды. Түрік ха­лықтары Алланың хақ діні Ис­ламмен ертерек қауышты. В.В. Бартольд әділ айтқандай “Турки были одними из первых народов, среди которых Ислам, отказавшись от пропаганды ору­жием, имел успех путем убеж­дения” болғаны тарихи шын­дық. Түріктер исламды 751 жылдан былай қарай негізінен бейбіт жолмен қабылдап, ислам мәдениетімен ертерек таны­сты. Соның нәтижесінде тү­рік дүниесі Ислам әлемімен рухани тұтастыққа қол жеткізді. Адамзат мәдениетіне Махмұт Қашқари, Жүсіп Баласағұн, Әбу Насыр әл-Фараби, Қожа Ахмет Яссауи, Ахмет Иүгінеки, Ибн Сина қатарлы ұлы тұлғалардың данышпандық ілімдерін бере алды.

3. Исламды мем­лекеттік дін ретінде мо­йын­даған түрік халықтары біртұтас рухани, мәдени бірлікке қол жет­кізу арқылы ұлт ретінде ұйысып, тұрақты, гүлденген мемле­кет­терге ие болды І Картамен жұмыс.

4,7(70 оценок)
Ответ:
gree04
gree04
18.07.2020

Объяснение:

Робототе́хника (от робот и техника; англ. robotics — роботика[1], роботехника[2]) — прикладная наука, занимающаяся разработкой автоматизированных технических систем и являющаяся важнейшей технической основой развития производства[3].

Робототехника опирается на такие дисциплины, как электроника, механика, кибернетика, телемеханика, мехатроника[4], информатика, а также радиотехника и электротехника. Выделяют строительную, промышленную, бытовую, медицинскую, авиационную и экстремальную (военную, космическую, подводную) робототехнику.

4,5(76 оценок)
Это интересно:
Новые ответы от MOGZ: Другие предметы
logo
Вход Регистрация
Что ты хочешь узнать?
Спроси Mozg
Открыть лучший ответ