М
Молодежь
К
Компьютеры-и-электроника
Д
Дом-и-сад
С
Стиль-и-уход-за-собой
П
Праздники-и-традиции
Т
Транспорт
П
Путешествия
С
Семейная-жизнь
Ф
Философия-и-религия
Б
Без категории
М
Мир-работы
Х
Хобби-и-рукоделие
И
Искусство-и-развлечения
В
Взаимоотношения
З
Здоровье
К
Кулинария-и-гостеприимство
Ф
Финансы-и-бизнес
П
Питомцы-и-животные
О
Образование
О
Образование-и-коммуникации
xhhxjdjdj4
xhhxjdjdj4
31.12.2021 19:47 •  Другие предметы

С какой силой давит на дно шахтной клети груз массой 100 кг, если клеть: а) поднимается вертикально вверх с ускорением 0,2 м/с2; б) движется равномерно;

👇
Ответ:
ananasik79
ananasik79
31.12.2021

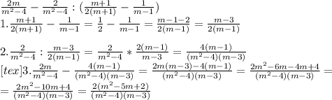
\frac{2m}{m^2-4}-\frac{2}{m^2-4}:(\frac{m+1}{2(m+1)}-\frac1{m-1})\\ \ 1. \frac{m+1}{2(m+1)}-\frac1{m-1}=\frac{1}{2}-\frac{1}{m-1}=\frac{m-1-2}{2(m-1)}=\frac{m-3}{2(m-1)}\\ \\ 2. \frac2{m^2-4}:\frac{m-3}{2(m-1)}= \frac2{m^2-4}*\frac{2(m-1)}{m-3}=\frac{4(m-1)}{(m^2-4)(m-3)}\\ \ [tex] 3. \frac{2m}{m^2-4}-\frac{4(m-1)}{(m^2-4)(m-3)}=\frac{2m(m-3)-4(m-1)}{(m^2-4)(m-3)}=\frac{2m^2-6m-4m+4}{(m^2-4)(m-3)}= \\
=\frac{2m^2-10m+4}{(m^2-4)(m-3)}= \frac{2(m^2-5m+2)}{(m^2-4)(m-3)}
В m^2-5m+2=0 Дискриминант не выводится так как нам нужно. Значит его оставим в таком положении.
4,8(32 оценок)
Открыть все ответы
Ответ:
232привет
232привет
31.12.2021

Оленеводство и Рыболовство

Объяснение:

Олень давал людям практически все необходимое для жизни: мясо, шкуры для одежды, сухожилия для ниток, кость и рога для украшений, различных инструментов и деталей. Свежая оленья кровь избежать цинги, опасной болезни на Севере.

В удовлетворении потребностей народов Севера в питании в целом по региону наиболее универсальное значение имело рыболовство. Им занималось практически все население. Это обусловило формирование различных производственных типов хозяйств, в которых в различной степени было развито рыболовство

4,8(44 оценок)
Ответ:
sqerrr
sqerrr
31.12.2021

Если человек в трудной ситуации то,

советы нужно давать с умом.

1. если ты в трудной ситуации то обратись к родным ,к близким друзьям они тебе

2. не срывайся на других из-за своих трудных проблем .Почитай книжку и ложись спать. На следующий день, Тебе будет легче

3. никогда не давай людям и даже друзьям расстраиваться ,тебе и попадать в трудной ситуации

4. Всегда будь на чеку чтобы не попасть в такие трудные ситуации

5. если трудная ситуация даёт тебе выбрать между одним и вторым то сперва хорошо подумай А потом Выбирай А если ты уже выбрал один вариант который ты не хочешь Действует ли то лучше подумай ещё раз

6. Всегда будь аккуратным чутким ловким

7.

думай несколько раз перед тем чтобы выбирать многие пользуются тем что человек не может выбрать между одним и вторым

Объяснение:

ребят вышло больше, но я старалась

4,8(39 оценок)
Новые ответы от MOGZ: Другие предметы
logo
Вход Регистрация
Что ты хочешь узнать?
Спроси Mozg
Открыть лучший ответ