М
Молодежь
К
Компьютеры-и-электроника
Д
Дом-и-сад
С
Стиль-и-уход-за-собой
П
Праздники-и-традиции
Т
Транспорт
П
Путешествия
С
Семейная-жизнь
Ф
Философия-и-религия
Б
Без категории
М
Мир-работы
Х
Хобби-и-рукоделие
И
Искусство-и-развлечения
В
Взаимоотношения
З
Здоровье
К
Кулинария-и-гостеприимство
Ф
Финансы-и-бизнес
П
Питомцы-и-животные
О
Образование
О
Образование-и-коммуникации

Папа и Катя поели мороженого в кафе. Расплачиваясь, папа подал официанту купюру достоинством 500 р. Официант дал папе сдачу

👇
Ответ:
влад2220
влад2220
26.02.2023
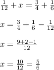
\frac{1}{12}+x= \frac{3}{4}+ \frac{1}{6} \\ \\ x=\frac{3}{4}+ \frac{1}{6}- \frac{1}{12} \\ \\ x= \frac{9+2-1}{12} \\ \\ x= \frac{10}{12}= \frac{5}{6}
4,6(18 оценок)
Открыть все ответы
Ответ:
nilnazarov666
nilnazarov666
26.02.2023

Відповідь:

Під час гри у дворі до дитини підходить ровесник і каже: «Недалеко звідси побудували нове спортивне містечко. Підемо подивимося ». Відповідь: «Спочатку мені потрібно запитати дозволу у батьків». Незнайомець продовжує: «Я думав, що ти вже досить великий (велика), а тобі, виявляється, мама не дозволяє. Тобі слабо? ». Відповідь: «Мені не слабо. Я піднімуся додому і попереджу батьків, що піду на спортивне містечко». Після цього дитина швидко відходить на безпечну відстань і йде додому, перевіряючи, чи не переслідує його незнайомець. Після його розповіді батькам варто спуститися у двір і перевірити отриману від нього інформацію.

Поруч з дитиною на вулиці зупиняється автомобіль, і незнайома жінка-водій, посміхаючись, просить: «Сядь, будь ласка, в машину і покажи дорогу до вулиці Липневої, а то я сильно спізнююся». Відповідь: «Вибачте, не можу вам до Ваша дитина швидко відходить від машини на безпечну відстань, а потім іде в напрямку, протилежному ходу руху автомобіля, перевіряючи, чи не переслідує його жінка. А опинившись у безпечному місці (вдома або у дворі), розповідає про цей випадок батькам, вчителям або іншим знайомим дорослим.

Під час прогулянки у дворі до дитини підходить бабуся і просить: «До мені, будь ласка, підняти продукти в мою квартиру в сусідньому будинку на третьому поверсі». Правильна відповідь: «Вибачте, не можу вам до Зверніться по до до дорослих». Опинившись у безпеці, дитина, як і в інших випадках, оперативно зв'язується з батьками і розповідає їм про подію, дослівно переказуючи розмову з незнайомою людиною.

Пояснення:

4,8(70 оценок)
Ответ:
alyssasweetgirl
alyssasweetgirl
26.02.2023

Согласно египетской традиции, сотворение мира из Хаоса обратимо: мир не только все время противостоит силам окружающего его Хаоса, но и может быть снова превращен в Хаос. Например, в «Книге мертвых» Атум, недовольный поведением богов, предупреждает: «Я разрушу все, что я создал. Мир снова превратится в Хаос (Нун) и бесконечность (Хух), как было в начале».

В очень многих культурах Хаос определяется через то, что в нем отсутствует (в науке это описание называется «нулевой» Хаос). Например, в «Старшей Эдде» говорится: «В начале времен не было в мире ни песка, ни моря, ни волн холодных; земли еще не было и небосвода, бездна сияла, трава не росла».

Объяснение:

P.S: Тип тут должно быть ответ:)

4,7(8 оценок)
Новые ответы от MOGZ: Другие предметы
logo
Вход Регистрация
Что ты хочешь узнать?
Спроси Mozg
Открыть лучший ответ