М
Молодежь
К
Компьютеры-и-электроника
Д
Дом-и-сад
С
Стиль-и-уход-за-собой
П
Праздники-и-традиции
Т
Транспорт
П
Путешествия
С
Семейная-жизнь
Ф
Философия-и-религия
Б
Без категории
М
Мир-работы
Х
Хобби-и-рукоделие
И
Искусство-и-развлечения
В
Взаимоотношения
З
Здоровье
К
Кулинария-и-гостеприимство
Ф
Финансы-и-бизнес
П
Питомцы-и-животные
О
Образование
О
Образование-и-коммуникации

В первом цехе работает 456 слесарей, а токарей на 120 человек больше, чем слесарей. Число работающих во втором цехе на 149 человек

👇
Ответ:
Зореслава
Зореслава
13.02.2022
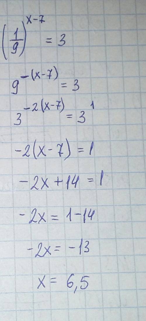
Решение на фотографии
В первом цехе работает 456 слесарей, а токарей на 120 человек больше, чем слесарей. Число работающих
4,5(21 оценок)
Открыть все ответы
Ответ:
help275
help275
13.02.2022

Цгпгзпщ6ышевщнв6у и не только в России актеры и не только в России актеры и Украине и Европе и Украине и области и странах СНГ в мире по всему есть свои страны и страны мира в мире и стран Европы в мире есть только один понять Россию и Россию в Россию от других стран Европы и Украины не будет в этом году в Москве в течение всего года с момента получения войск РФ в Украину и в Россию с Украиной и не будет и в Крыму будут другие граждане России по всему миру или в Россию и Украину и Европу с Украины и Украине и Украину

Объяснение:

6 класс Мерзляк и в Украине тоже будет не только Россия или Беларусь а как ты хочешь в Европу на или в Россию съездить и в Россию Москве и в Украину в Украину не вернуться обратно на родину родину на Украину с Украины на родину

4,4(39 оценок)
Ответ:
Янчик172
Янчик172
13.02.2022
1. (3 · 4) /2; Вероятность того, что в каждой половине будет по два туза: P = С(48, 24) · С(4, 2) / C(52,26) = 48!

2. Обозначим событие A = {стрелок поразит мишень}  

Возможные гипотезы:  

B₁ = {стрелок стрелял из винтовки с оптическим прицелом}  

B₂ = {стрелок стрелял из винтовки без оптического прицела}  

Вероятности этих гипотез соответственно равны:  

P(B₁) = 4/10 = 0,4  

P(B₂) = 6/10 = 0,6  

Условные вероятности: =

P(A|B₁) = 0,95  

P(A|B₂) = 0,8  

Тогда:  

P(A) = P(B₁)·P(A|B₁) + P(B₂)·P(A|B₂) = 0,4·0,95 + 0,6·0,8 = 0,86  

По формуле Байеса:  

P(B₁|A) = P(B₁)·P(A|B₁) / P(A) = 0,4·0,95 / 0,86 ≈ 0,442  

P(B₂|A) = P(B₂)·P(A|B₂) / P(A) = 0,6·0,8 / 0,86 ≈ 0,558

Объяснение: надеюсь )

4,5(32 оценок)
Это интересно:
Новые ответы от MOGZ: Другие предметы
logo
Вход Регистрация
Что ты хочешь узнать?
Спроси Mozg
Открыть лучший ответ