М
Молодежь
К
Компьютеры-и-электроника
Д
Дом-и-сад
С
Стиль-и-уход-за-собой
П
Праздники-и-традиции
Т
Транспорт
П
Путешествия
С
Семейная-жизнь
Ф
Философия-и-религия
Б
Без категории
М
Мир-работы
Х
Хобби-и-рукоделие
И
Искусство-и-развлечения
В
Взаимоотношения
З
Здоровье
К
Кулинария-и-гостеприимство
Ф
Финансы-и-бизнес
П
Питомцы-и-животные
О
Образование
О
Образование-и-коммуникации
NextHelp
NextHelp
08.11.2020 23:46 •  Другие предметы

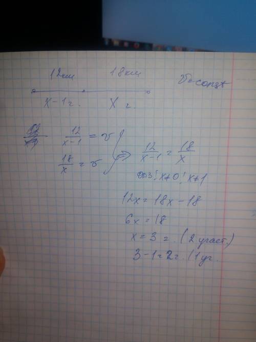
Два самосвала разной грузоподъёмности должны доставить 600 т гравия для ремонта дороги. Один из них может перевезти это количество

👇
Ответ:
Ольчик071196
Ольчик071196
08.11.2020
T1-время первого этапа, t2-второго. t=s/v, v-одинаковая, t1/t2=s1/s2; s1=12км- первый этап, s2=18км -второй, t1/t2=12/18, это и есть пропорция. Но t2=(t1+1), Подставим это в пропорцию.t1/(t1+1)=12/18. (Или пропорцию можно записать t1:(t1+1)=12:18, как удобнее) Произведение крайних членов пропорции равно произведению средних:  18t1 = 12t1+12 ;  6t1=12 : t1=2(часа), t2=t1+12=3(часа)
Два самосвала разной грузоподъёмности должны доставить 600 т гравия для ремонта дороги. Один из них
4,6(45 оценок)
Ответ:
далина3
далина3
08.11.2020
Решение во вложении.
4,5(43 оценок)
Открыть все ответы
Ответ:
elizabetfox1222
elizabetfox1222
08.11.2020

Bir bor ekan, bir yo'q ekan. Qadim qadim zamonda bitta chol bo'lgan ekan. U dehqonchilik bilan shug'ullangan ekan. Kunlarning birida u o'z yeriga bir sholg'om ekibdi. Bu sholg'om boshqalariga o'xshamaydiganday tuyulibdi. Ertasi kuni o'sha sholg'om katta bo'lib o'sib chiqibdi. Chol uni yerdan sug'urib olaman deb tortibdi, tortibdi, torta olmabdi. Keyin u kampirini chaqiribdi. Kampir ikkalasi tortishibdi, tortishibdi, sholg'om chiqmabdi. Kampir qizini chaqiribdi. Uchalasi tortishibdi, tortishibdi, sholg'om chiqmabdi. Qizi kuchukchani chaqiribdi. To'rttolovi birgalikda tortishibdi, tortishibdi, sholg'om chiqmabdi. Kuchuk mushukni chaqiribdi. Beshalasi tortishibdi, tortishibdi, sholg'om chiqmabdi. Mushuk sichqonni chaqiribdi. Sichqon, mushuk, kuchuk, qizi, kampir va chol sholg'omni tortishibdi, tortishibdi va sholg'om otilib chiqibdi. Chol sholg'omni kattaligidan uyiga sig'dira olmabdi. Bitta sholg'omning o'zi anchaga yetibdi. Shunday katta sholg'omni chol, kampir, qizi, kuchuk, mushuk va sichqon faqat birdam harakatlanibgina chiqara olishibdi. "Kuch - birlikda" deb bejiz aytishmagan.

4,4(75 оценок)
Ответ:
ivanmoskvin177
ivanmoskvin177
08.11.2020

   Кожна людина має в житті свою мету. У більшості вона одна – знайти своє кохання. Та ми часто не помічаємо, що самі будуємо перешкоди на шляху досягнення цілі. Ви запитаєте як? Та людина просто починає гнатися за порожньою зовнішністю, а не за багатою душею. Нині ми гаємо і таку  проблему, що батьки молодих людей із заможних родин аж ніяк не хочуть чути про одруження своєї доньки хлопцем із незаможної родини. Виходить у стосунках кохання не головне ?      


Видатна письменниця Ольга Кобилянська у своєму творі «Земля» піднімає одвічну проблему засудження батьками кохання молодих людей із різних, за грошовим статусом, сімей. Івоніка Федорчук хоче одружити свого старшого сина з нелюбою йому Парасинкою тільки тому, що їхні наділи «граничать між собою, становлять одну рівнину, їх сила однакова». Але Михайло йде на конфлікт з батьками, бо дійсно кохає Анну, не зважаючи на те, що вона бідна наймичка. Покохавши бідну дівчину Михайло готовий зректися навіть спадкової землі і податися в місто з коханою, якщо батьки не дадуть їм благословення.    Неможливо також  оминути талановиту комедію Івана  Карпенко-Карого «Хазяїн». По при висміювання людської пристрасті до збагачення автор також звертається до проблеми кохання за розрахунком. Усі помисли Пузиря спрямовані на одержання прибутків, і він дає фальшиву згоду на шлюб своєї доньки Соні і вчителя Калиновича, лише заради власної вигоди. У питаннях кохання і шлюбу Соня сміливо й рішуче відстоює своє право на щастя. Вона обрала собі нареченого, не через гроші (звичайний вчитель – небагатий), а за покликом серця. І вона згодна вийти за нього заміж, навіть коли батько не дасть на це дозволу.      Отже, кохання – це світле почуття, що для декого стає сенсом життя, і дійсно, у стосунках воно найголовніше: люди ладні віддати всі багатства і статки, заради того, щоб бут з коханою людною. 

   
4,7(61 оценок)
Это интересно:
Новые ответы от MOGZ: Другие предметы
logo
Вход Регистрация
Что ты хочешь узнать?
Спроси Mozg
Открыть лучший ответ