М
Молодежь
К
Компьютеры-и-электроника
Д
Дом-и-сад
С
Стиль-и-уход-за-собой
П
Праздники-и-традиции
Т
Транспорт
П
Путешествия
С
Семейная-жизнь
Ф
Философия-и-религия
Б
Без категории
М
Мир-работы
Х
Хобби-и-рукоделие
И
Искусство-и-развлечения
В
Взаимоотношения
З
Здоровье
К
Кулинария-и-гостеприимство
Ф
Финансы-и-бизнес
П
Питомцы-и-животные
О
Образование
О
Образование-и-коммуникации

Категория «время» выражает всеобщее свойство материальных объектов и процессов

👇
Ответ:
gzhanatugan
gzhanatugan
21.10.2022

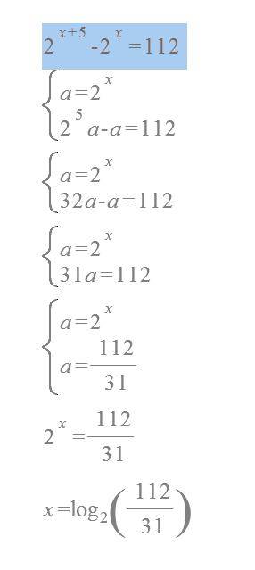
2^(x+5)-2^(x)=112;

2^x*2^5-2^x=112;

32*2^x-2^x=112;

31*2^x=112;

2^x=112/31;

x=log₂(112/31).


Категория «время» выражает всеобщее свойство материальных объектов и процессов
4,6(74 оценок)
Открыть все ответы
Ответ:
Ответит7275
Ответит7275
21.10.2022

Вам понадобится

творог 500 грамм

яйцо 1 шт.

мука 4 ст. л.

сахар 2 ст. л.

масло для жарки

Инструкция

1. Возьмите для приготовления сырников хороший творог высокой жирности. Если творог слишком мокрый, откиньте его сквозь марлю в течение нескольких часов. Стоит также протереть его через сито, это придаст готовым изделиям больше воздушности.

2. Смешайте в миске яйцо с сахаром и солью, добавьте к ним творог и хорошо вымешайте. Присыпьте массу мукой и сформируйте из теста толстую ровную колбаску. Разделите ее на 8 равных частей, слепите из каждого куска теста продолговатый или круглый сырник.

3. Разогрейте в сковороде растительное или топленое масло, обваляйте сырники в панировке из муки или манки, опустите их в кипящее масло. Убавьте слегка огонь и жарьте сырник до образования золотистой корочки, после чего его следует перевернуть на другую сторону и поджарить точно так же.

4. Если сырники плохо прожариваются, довести до готовности их можно и под крышкой, хуже от этого они не станут. Подавать сырники можно со сметаной, вареньем, ванильным соусом. В общем, кто как привык и любит. Можно даже сделать их несладкими, заменив сахар в рецепте на рубленую зелень или вяленые помидоры.

5. Рецепт можно варьировать до бесконечности. Главное, не допустить расплывания теста. Сделать тесто жидким могут яйца, влага в твороге, лишнее количество сахара и другие ингредиенты. Чтобы загустить массу, придется использовать больше муки, что утяжелит сырники и сделает их плотными и невкусными.

Объяснение:

4,8(66 оценок)
Ответ:
Satana04
Satana04
21.10.2022

1. б)

2. в)

3. А) быстрота

Б) выносливость

В) сила

Г) гибкость

Д) координация движений

4. 1. Систематическое использование закаливающих процедур

2. постепенное наращивание силы воздействия

3. длительные прогулки (в теплое время года),сон в открытом     помещении,с открытым окном.

5. Обтирание, воздушные ванны, контрастный душ, купание, обливание, купание в проруби.

6. в)

7. всего 6 игроков одной команды могут находиться одновременно на своей половине площадки.

8. От каждой команды на площадке выступают одновременно пять игроков, еще пять-семь баскетболистов находятся во время игры на скамейке запасных.

9. Пьер де Кубертен

10. волейбол

11. б)

12. в)

13. а)

14. б)

15. 11 метров

16. 1 .Не стремитесь к достижению результатов в кратчайшие сроки. Спешка может привести к перегрузке организма и переутомлению.

2.Физические нагрузки должны соответствовать вашим возможностям, поэтому нагрузки и их сложность повышайте постепенно, контролируя реакцию организма на них.

З.В план тренировок включайте упражнения для развития всех физических качеств. Это достичь более высоких результатов в избранном вами виде спорта.

17. б)

18. К объективным показателям самоконтроля относятся частота пульса, вес, сила мышц, жизненная ёмкость легких, спортивные результаты и т.д. Объективным показателем самоконтроля является влияние тренировочного процесса на состояние сердечно - сосудистой системы и организма в целом.

19. вертикальные прыжки: прыжок в высоту, прыжок с шестом;

горизонтальные прыжки: прыжок в длину, тройной прыжок;

20. подача,

прием,

пас,

удар с нападением,

блок.

4,7(42 оценок)
Это интересно:
Новые ответы от MOGZ: Другие предметы
logo
Вход Регистрация
Что ты хочешь узнать?
Спроси Mozg
Открыть лучший ответ