М
Молодежь
К
Компьютеры-и-электроника
Д
Дом-и-сад
С
Стиль-и-уход-за-собой
П
Праздники-и-традиции
Т
Транспорт
П
Путешествия
С
Семейная-жизнь
Ф
Философия-и-религия
Б
Без категории
М
Мир-работы
Х
Хобби-и-рукоделие
И
Искусство-и-развлечения
В
Взаимоотношения
З
Здоровье
К
Кулинария-и-гостеприимство
Ф
Финансы-и-бизнес
П
Питомцы-и-животные
О
Образование
О
Образование-и-коммуникации

Заботливой хозяйкой пришла зима в наши леса. Вдалеке виден холм у опушки. С него шаловливый ветер взял да сдул белую шапку. Нужно ее надеть. В тяжелые снеговые

👇
Ответ:
Kamillka005
Kamillka005
08.08.2022
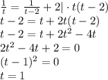
 \frac{1}{5^x} = \frac{1}{5^x-2} +2
пусть 5^x=t причем (t0), в результате замены переменных, получаем исходное уравнение
 \frac{1}{t} = \frac{1}{t-2} +2|\cdot t(t-2) \\ t-2=t+2t(t-2) \\ t-2=t+2t^2-4t \\ 2t^2-4t+2=0 \\ (t-1)^2=0 \\ t=1
Возвращаемся к замене
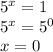
5^x=1 \\ 5^x=5^0 \\ x=0

ответ: 0.
4,7(6 оценок)
Открыть все ответы
Ответ:
milanapsh
milanapsh
08.08.2022

Маргасов основная тема его произведенийМаргасов основная тема его произведенийМаргасов основная тема его произведенийМаргасов основная тема его произведенийМаргасов основная тема его произведенийМаргасов основная тема его произведенийМаргасов основная тема его произведенийМаргасов основная тема его произведенийМаргасов основная тема его произведенийМаргасов основная тема его произведенийМаргасов основная тема его произведенийМаргасов основная тема его произведенийМаргасов основная тема его произведенийМаргасов основная тема его произведенийМаргасов основная тема его произведенийМаргасов основная тема его произведенийМаргасов основная тема его произведенийМаргасов основная тема его произведенийМаргасов основная тема его произведенийМаргасов основная тема его произведенийМаргасов основная тема его произведенийМаргасов основная тема его произведенийМаргасов основная тема его произведенийМаргасов основная тема его произведенийМаргасов основная тема его произведенийМаргасов основная тема его произведенийМаргасов основная тема его произведенийМаргасов основная тема его произведенийМаргасов основная тема его произведенийМаргасов основная тема его произведенийМаргасов основная тема его произведений

Объяснение:

4,5(11 оценок)
Ответ:
dfhjkgftg357
dfhjkgftg357
08.08.2022

КАК И ЧЕМ ЗАПРАВИТЬ МАРКЕР? ИНСТРУКЦИЯ, ФОТО И ВИДЕО

Чем заправить маркер?

Маркеры MONTANA созданы специально для райтеров и художников. С этих высококачественных профессиональных инструментов можно выполнять множество различных творческих задач: рисовать тэги на любых поверхностях, добавлять разнообразные элементы к сложным граффити-рисункам, а также создавать самостоятельные произведения искусства на стенах и холстах. Однако рано или поздно в любых маркерах заканчиваются чернила и яркая насыщенная линия становится бледной и прерывистой. Что же делать в таком случае? ответ – в этом материале!

4,6(34 оценок)
Это интересно:
Новые ответы от MOGZ: Другие предметы
logo
Вход Регистрация
Что ты хочешь узнать?
Спроси Mozg
Открыть лучший ответ